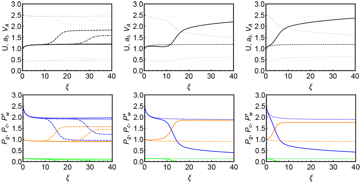
Fig. 2

Download original image
Comparison of transonic and subsonic solutions of a three-fluid system with cosmic ray diffusion. In this figure, γg = 5∕3, γc = 4∕3, GM = 1, a = 1, η = 1. Cases with wave damping and/or cooling are compared to the cases without both wave damping and cooling. All cases have the same boundary conditions
at the base except Dcb. The diffusive flux (or cosmic ray pressure gradient) at the base is adjusted to get physically allowable solutions (subsonic solutions for the cases without cooling and transonic solution for the cases with cooling). In this example, Ub = 1, Pgb = 2.5, Pcb = 1,
, ρb = 2∕3,
. Dotted line displays the case in which both wave damping and cooling are “OFF” (δc = 0, δ+ = 0). Left column: dashed, dot-dashed, and solid lines are the cases in which only wave damping is “ON” (δc = 0, δ+ = 0.1). The three solutions correspond to slightly different Dcb (see text). Middle column: solid line is the case with only cooling is “ON” (δc = 0.1, δ+ = 0). Right column: solid line is the case in which both cooling and wave damping are “ON” (δc = 0.1, δ+ = 0.1). Upper row: black, thin brown, and grey lines show the flow speed, the effective sound speed and the Alfvén speed, respectively. Lower row: blue, orange, and green lines show the pressures of the thermal gas, cosmic ray, and forward-propagating wave, respectively.
Current usage metrics show cumulative count of Article Views (full-text article views including HTML views, PDF and ePub downloads, according to the available data) and Abstracts Views on Vision4Press platform.
Data correspond to usage on the plateform after 2015. The current usage metrics is available 48-96 hours after online publication and is updated daily on week days.
Initial download of the metrics may take a while.