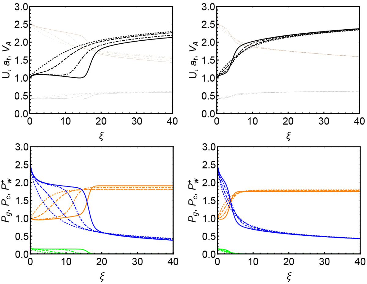
Fig. 3

Download original image
Comparison of results with different cosmic ray coupling strength. The cosmic ray diffusion coefficient is defined as
. Here, we compare solutions for different η of the cases with cooling in Fig. 2. Left column: cooling is “ON” and wave damping is “OFF” (δc = 0.1, δ+ = 0). Right column: both cooling and wave damping are “ON” (δc = 0.1, δ+ = 0.1). Four different cases are shown, (1) η = 5 (dotted line), (2) η = 2 (dashed line), (3) η = 1 (dot-dashed line), and (4) η = 0.5 (solid line). All other parameters are the same as Fig. 2, except that Dcb is adjusted to produce transonic solutions.
Current usage metrics show cumulative count of Article Views (full-text article views including HTML views, PDF and ePub downloads, according to the available data) and Abstracts Views on Vision4Press platform.
Data correspond to usage on the plateform after 2015. The current usage metrics is available 48-96 hours after online publication and is updated daily on week days.
Initial download of the metrics may take a while.