Fig. 4

Download original image
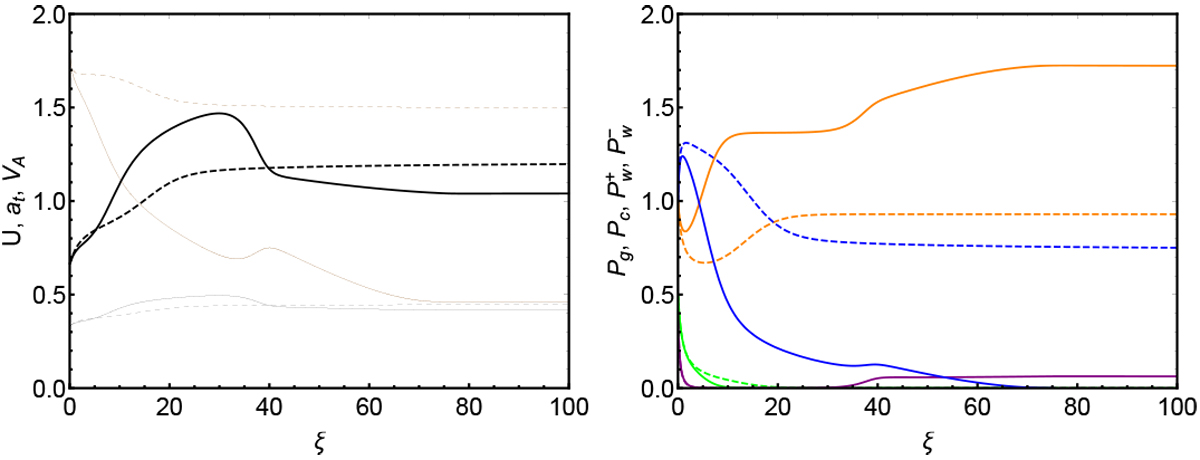
Example of transonic and subsonic solutions of a four-fluid system with both forward- and backward-propagating waves. In this figure, γg = 5∕3, γc = 4∕3, GM = 1, a = 1, η = 1. Two cases are compared, (1) dashed line: cooling is “OFF” (δc = 0) and (2) solid line: cooling is “ON” (δc = 0.1). Wave damping is “ON” for both cases (δ± = 1). Left panel: black, thin brown, and grey lines show the flow speed, the effective sound speed, and the Alfvén speed, respectively. Right panel: blue, orange, green, and purple lines show the pressures of thermal gas, cosmic ray, forward-propagating wave, and backward-propagating wave, respectively. The boundary conditions
are the same for the two cases. In this example, Ub = 2∕3, Pgb = 1, Pcb = 1,
,
, ρb = 1,
. The cosmic ray pressure gradient or diffusive flux at the base is adjusted to get the transonic solution if cooling is “ON” and get a physically allowable subsonic solution if the cooling is “OFF.”
Current usage metrics show cumulative count of Article Views (full-text article views including HTML views, PDF and ePub downloads, according to the available data) and Abstracts Views on Vision4Press platform.
Data correspond to usage on the plateform after 2015. The current usage metrics is available 48-96 hours after online publication and is updated daily on week days.
Initial download of the metrics may take a while.