Fig. 5

Download original image
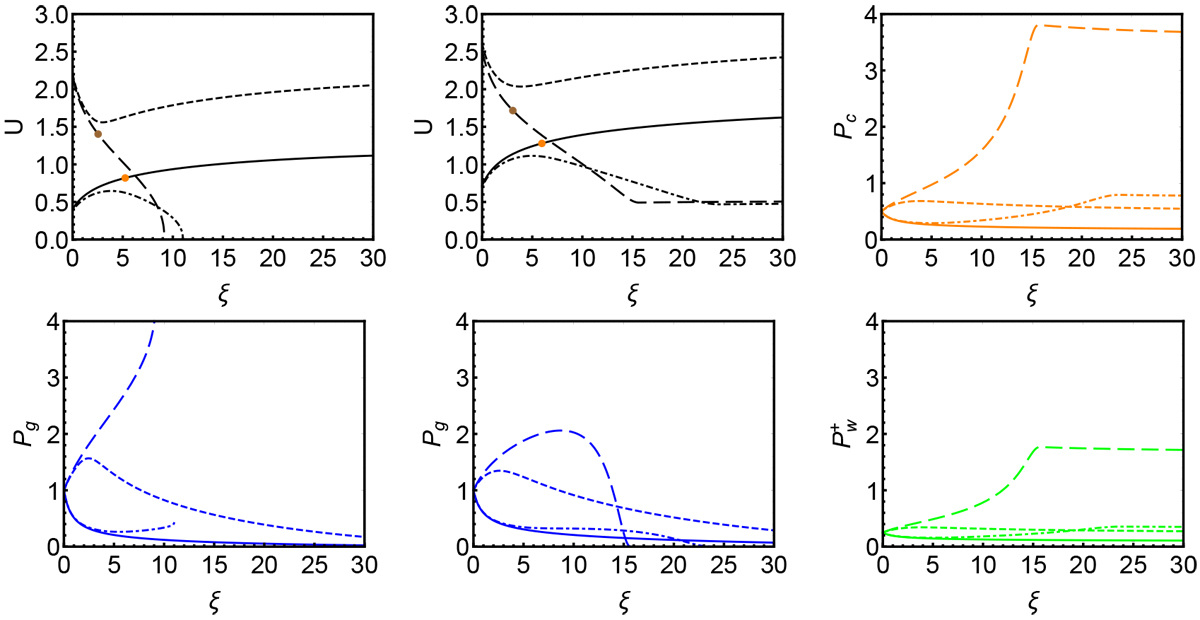
Comparison of solutions of a three-fluid system with cooling but without cosmic ray diffusion and wave damping. In this figure, γg = 5∕3, γc = 4∕3, GM = 1, a = 1, δc = 0.1, δ+ = 0. Four solutions are shown: (1) solid line: subsonic-supersonic transonic solution; (2) Long-dashed line: supersonic-subsonic transonic solution; (3) dot-dashed line: Subsonic solution; and (4) dashed line: supersonic solution. The three-fluid case is shown in the middle and right columns, with boundary conditions
. For comparison, a corresponding pure thermal case is shown in the left column with boundary conditions (Pgb, ρb, Bb)=(1, 1, 0.25). In the top-left and top-middle panels, the orange and brown dots are the sonic points of the subsonic-supersonic and supersonic-subsonic transonic solutions, respectively.
Current usage metrics show cumulative count of Article Views (full-text article views including HTML views, PDF and ePub downloads, according to the available data) and Abstracts Views on Vision4Press platform.
Data correspond to usage on the plateform after 2015. The current usage metrics is available 48-96 hours after online publication and is updated daily on week days.
Initial download of the metrics may take a while.