Open Access

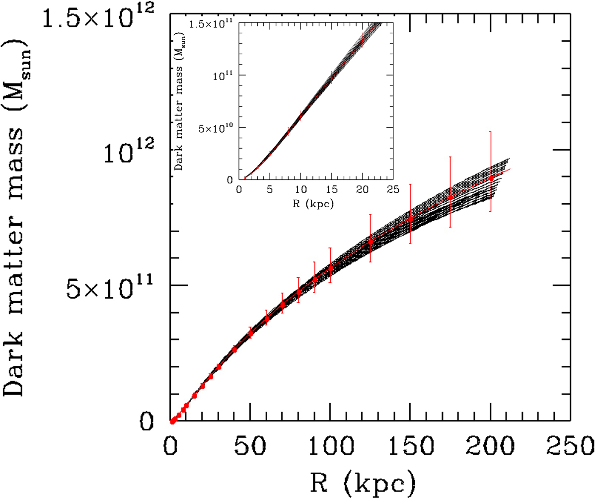
Fig. 5.

image

Download original image

Dark-matter enclosed mass vs. radius for the mass profile of the contracted halo of Cautun et al. (2020), from which points and error bars are given in red. When the same baryon content is assumed, the black curves show the result from 24 Einasto models that fit both the RC and the contracted halo. The total mass are very similar within a few percent, and the only small difference is that R200 ranges from 200 to 213 kpc instead of 218 kpc for the contracted halo of Cautun et al. (2020). The inset shows a zoom of the mass distribution below 25 kpc to show the similarity of the Einasto DM and the contracted halo near the range of radii of the RC.

Current usage metrics show cumulative count of Article Views (full-text article views including HTML views, PDF and ePub downloads, according to the available data) and Abstracts Views on Vision4Press platform.

Data correspond to usage on the plateform after 2015. The current usage metrics is available 48-96 hours after online publication and is updated daily on week days.

Initial download of the metrics may take a while.