Open Access

Fig. 5.

image

Download original image

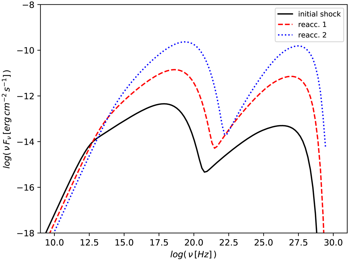
Observed SEDs due to SSC emission from the particle population shown in Fig. 4 after an initial shock acceleration and two re-accelerations. The SEDs correspond to a source at the redshift of 1ES 0229+200 with δ = 50.

Current usage metrics show cumulative count of Article Views (full-text article views including HTML views, PDF and ePub downloads, according to the available data) and Abstracts Views on Vision4Press platform.

Data correspond to usage on the plateform after 2015. The current usage metrics is available 48-96 hours after online publication and is updated daily on week days.

Initial download of the metrics may take a while.