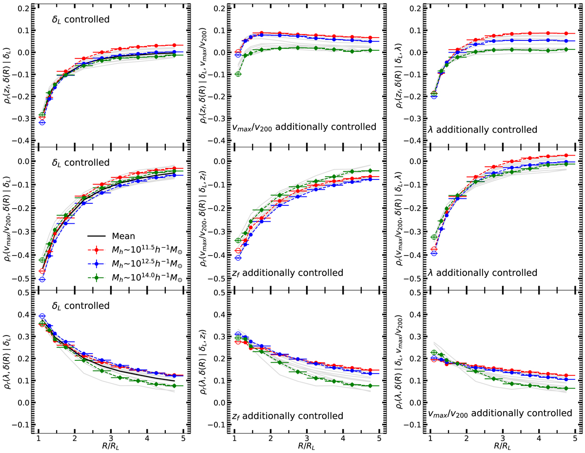
Fig. 11.

Download original image
Partial correlation coefficients for correlations between halo properties and δ(R), with δL controlled (left panel), with δL and another halo property additionally controlled (middle and right panel), as a function of R/RL. The results in left panels are computed using Eq. (3) and those in the middle and right panels using Eq. (4). The symbols, the color code, and error bars are the same as Fig. 7. The gray lines show the results for other halo mass bins and the black lines show the mean results of these halo mass bins.
Current usage metrics show cumulative count of Article Views (full-text article views including HTML views, PDF and ePub downloads, according to the available data) and Abstracts Views on Vision4Press platform.
Data correspond to usage on the plateform after 2015. The current usage metrics is available 48-96 hours after online publication and is updated daily on week days.
Initial download of the metrics may take a while.