Open Access

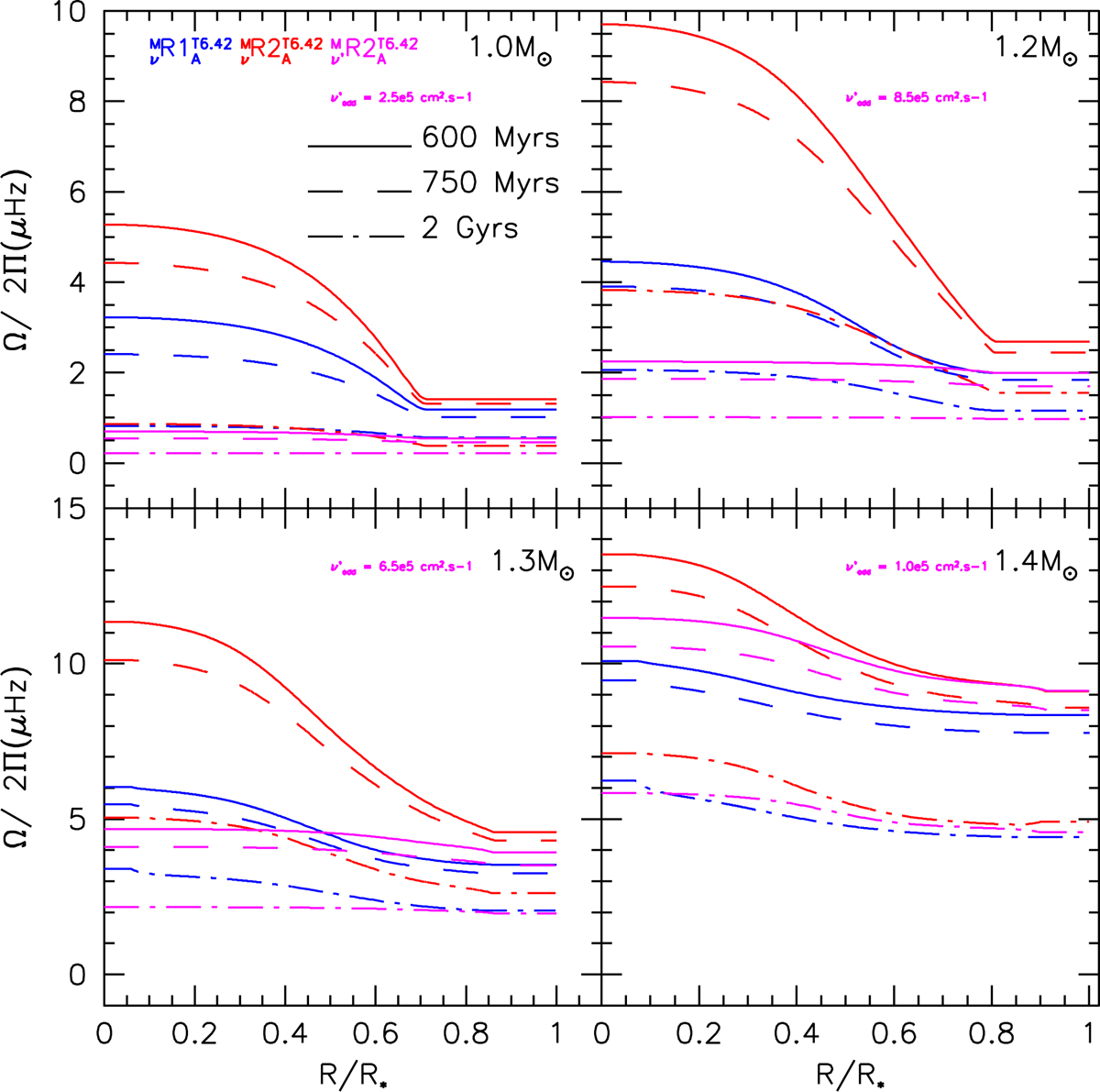
Fig. 7.

image

Download original image

Angular velocity profiles versus the radius within the star for models (blue), (red), and (magenta) at [Fe/H] = +0.15 and for four masses: 1.0, 1.2, 1.3, and 1.4 M (the value of used is indicated for each mass). The solid, dashed, and dot-dashed lines refer to three different ages (0.6, 0.75, and 2 Gyrs, respectively).

Current usage metrics show cumulative count of Article Views (full-text article views including HTML views, PDF and ePub downloads, according to the available data) and Abstracts Views on Vision4Press platform.

Data correspond to usage on the plateform after 2015. The current usage metrics is available 48-96 hours after online publication and is updated daily on week days.

Initial download of the metrics may take a while.