Open Access

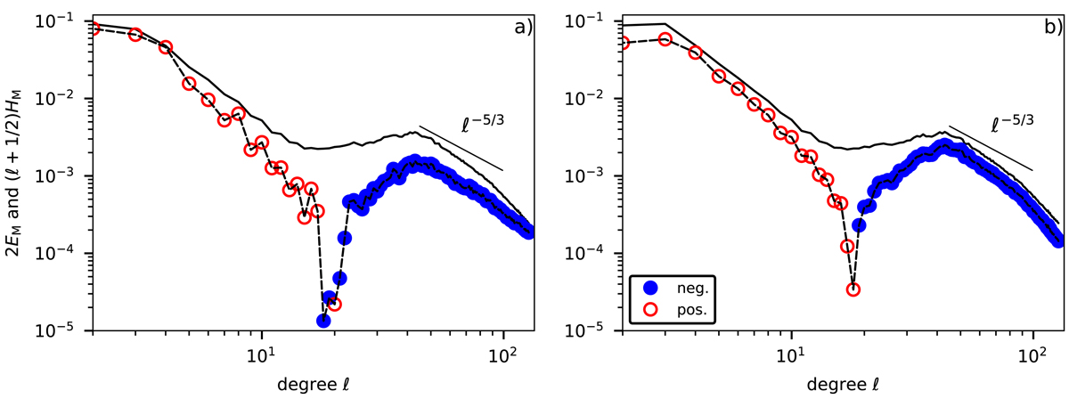
Fig. 4.

image

Download original image

Magnetic energy (solid) and scaled helicity spectra (dashed) obtained at a depth of r1 for Run A. Panel a: the energy and helicity spectra are obtained using the magnetic field and vector potential directly from the simulation data, whereas in panel b, we use the angular correlation function given by Eq. (10) to evaluate the energy spectra and the SMHS using only the magnetic field data.

Current usage metrics show cumulative count of Article Views (full-text article views including HTML views, PDF and ePub downloads, according to the available data) and Abstracts Views on Vision4Press platform.

Data correspond to usage on the plateform after 2015. The current usage metrics is available 48-96 hours after online publication and is updated daily on week days.

Initial download of the metrics may take a while.