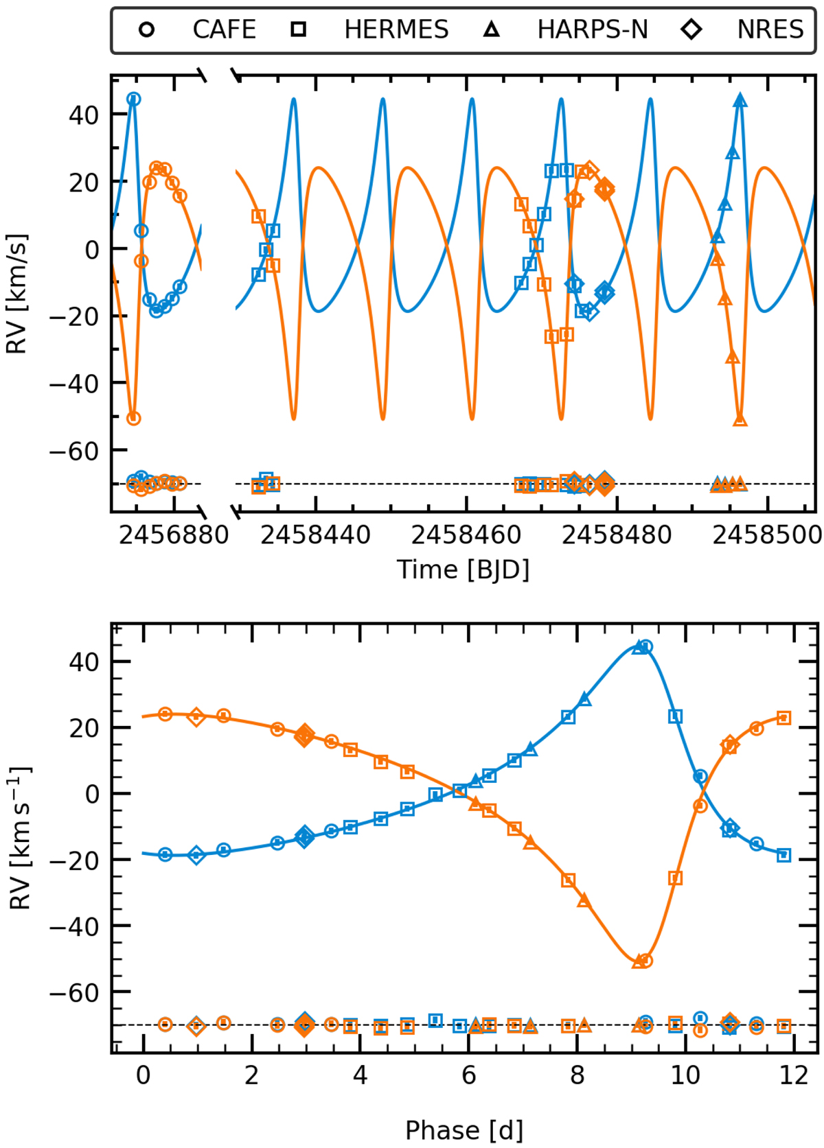
Fig. 8.

Download original image
RV values for the four different spectrographs (CAFE, HERMES, HARPS-N, and NRES) and orbital solution for the primary (blue) and secondary (orange) component of GJ 1284 as a function of time (top panel) and orbital phase (bottom panel). The residuals of the Keplerian fit calculated with rvfit are shown at the bottom of each panel using the same scale.
Current usage metrics show cumulative count of Article Views (full-text article views including HTML views, PDF and ePub downloads, according to the available data) and Abstracts Views on Vision4Press platform.
Data correspond to usage on the plateform after 2015. The current usage metrics is available 48-96 hours after online publication and is updated daily on week days.
Initial download of the metrics may take a while.