Open Access

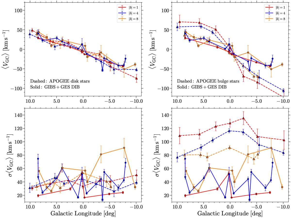
Fig. 8

image

Download original image

Median galactocentric radial velocity (top) and velocity dispersion (bottom) calculated in GIBS fields (circles), GES fields (squares), and APOGEE bins (triangles), as a function of Galactic longitude, for different latitudes marked with different colors. The APOGEE stars used in the left panels are in the disk with line-of-sight distances smaller than 3 kpc. Bulge stars (RGC ≤ 3 kpc) are used in right panels.

Current usage metrics show cumulative count of Article Views (full-text article views including HTML views, PDF and ePub downloads, according to the available data) and Abstracts Views on Vision4Press platform.

Data correspond to usage on the plateform after 2015. The current usage metrics is available 48-96 hours after online publication and is updated daily on week days.

Initial download of the metrics may take a while.