Fig. 6.

Download original image
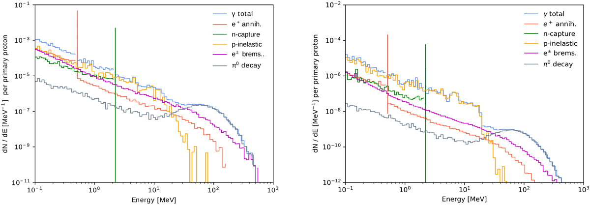
Gamma-ray spectra from primary protons in a dipole magnetic field obtained in simulations with the GC approach. The primary protons released from the top of the reference magnetic field line are assumed to have an isotropic angular distribution and a power-law energy distribution with spectral indexes δ = 2 (left panel) and δ = 3 (right panel) in the range 1.0 MeV–1.0 GeV. The panels show the total spectrum, and the contributions from e+ annihilation, neutron-capture, proton inelastic processes, e± bremsstrahlung, and π0 decay.
Current usage metrics show cumulative count of Article Views (full-text article views including HTML views, PDF and ePub downloads, according to the available data) and Abstracts Views on Vision4Press platform.
Data correspond to usage on the plateform after 2015. The current usage metrics is available 48-96 hours after online publication and is updated daily on week days.
Initial download of the metrics may take a while.