Fig. 6.

Download original image
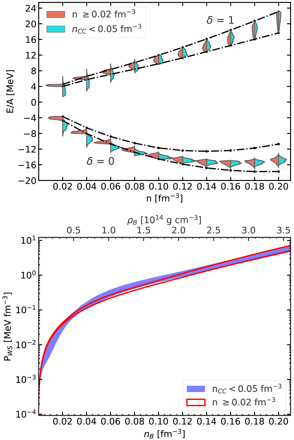
Top panel: bands of the energy per baryon of symmetric (δ = 0) and pure neutron matter (δ = 1) as a function of density representing the chiral EFT constraint from Drischler et al. (2016). The probability distributions of models for which EFT constraints are applied from n ≥ 0.02 fm−3 (n ≥ 0.1 fm−3 and predicting a crust-core transition nCC < 0.05 fm−3) are represented as a violin-like shape. Lower panel: 1σ band of the total pressure versus baryon density nB and versus mass-energy density ρB (in units of 1014 g cm−3) predicted by these models (see text for details).
Current usage metrics show cumulative count of Article Views (full-text article views including HTML views, PDF and ePub downloads, according to the available data) and Abstracts Views on Vision4Press platform.
Data correspond to usage on the plateform after 2015. The current usage metrics is available 48-96 hours after online publication and is updated daily on week days.
Initial download of the metrics may take a while.