Free Access

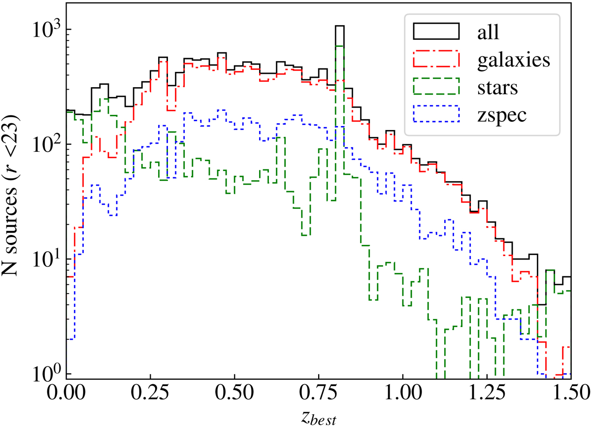
Fig. 11.

image

Download original image

Distribution of the most likely redshift (zbest) for all miniJPAS sources brighter than r = 23 (solid black line), as well as for galaxies (dot-dashed red line), stars (dashed green line), and galaxies with spectroscopic redshifts (dotted blue line).

Current usage metrics show cumulative count of Article Views (full-text article views including HTML views, PDF and ePub downloads, according to the available data) and Abstracts Views on Vision4Press platform.

Data correspond to usage on the plateform after 2015. The current usage metrics is available 48-96 hours after online publication and is updated daily on week days.

Initial download of the metrics may take a while.