Free Access

Fig. 27.

image

Download original image

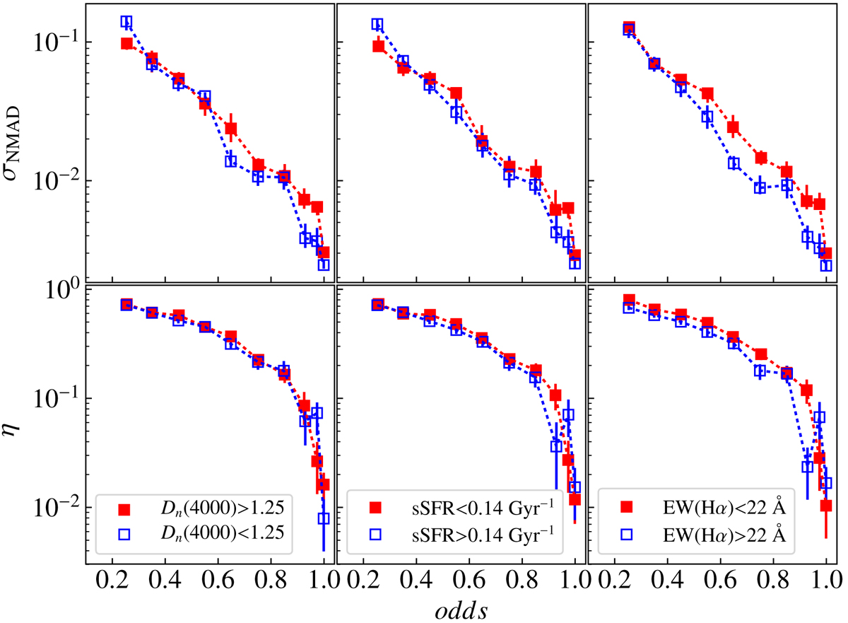
Dependence of σNMAD and η on odds for quiescent (solid red symbols) and star-forming (open blue symbols) galaxies in the spectroscopic sample according to three different classification criteria (left, centre, and right panels; see text for details). The error bars represent 1σ confidence intervals calculated with bootstrap resampling.

Current usage metrics show cumulative count of Article Views (full-text article views including HTML views, PDF and ePub downloads, according to the available data) and Abstracts Views on Vision4Press platform.

Data correspond to usage on the plateform after 2015. The current usage metrics is available 48-96 hours after online publication and is updated daily on week days.

Initial download of the metrics may take a while.