Free Access

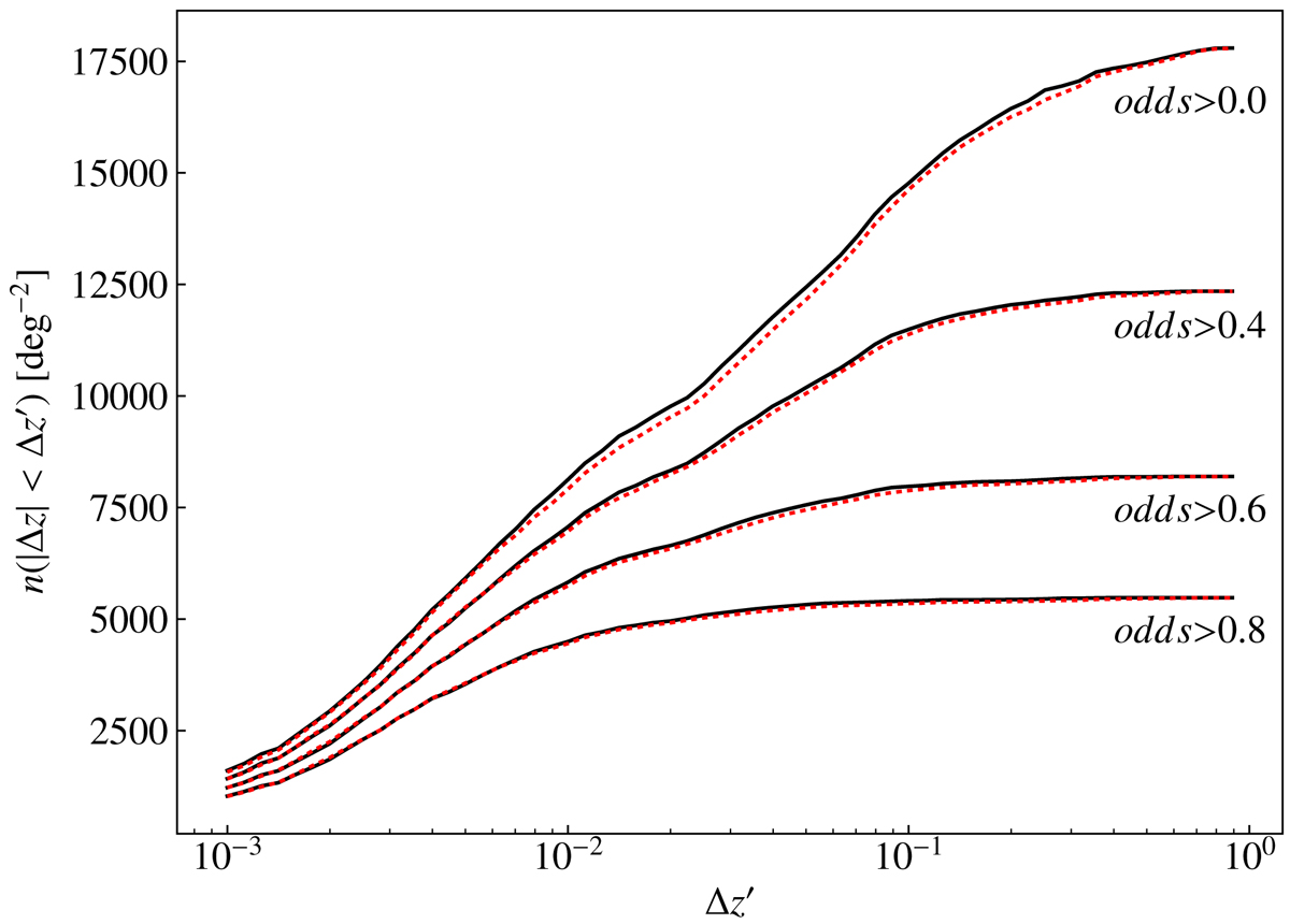
Fig. 32.

image

Download original image

Predicted density of r < 23 miniJPAS galaxies with redshift errors |Δz| < Δz′ as a function of the threshold Δz′ for four different cuts in the odds parameter. The solid lines are generated by applying the same value of fS(|Δz| < Δz′ | oddsi) calculated in non-flagged sources to both flagged and non-flagged sources, and the dotted lines use separate values for flagged and non-flagged sources.

Current usage metrics show cumulative count of Article Views (full-text article views including HTML views, PDF and ePub downloads, according to the available data) and Abstracts Views on Vision4Press platform.

Data correspond to usage on the plateform after 2015. The current usage metrics is available 48-96 hours after online publication and is updated daily on week days.

Initial download of the metrics may take a while.