Fig. 20

Download original image
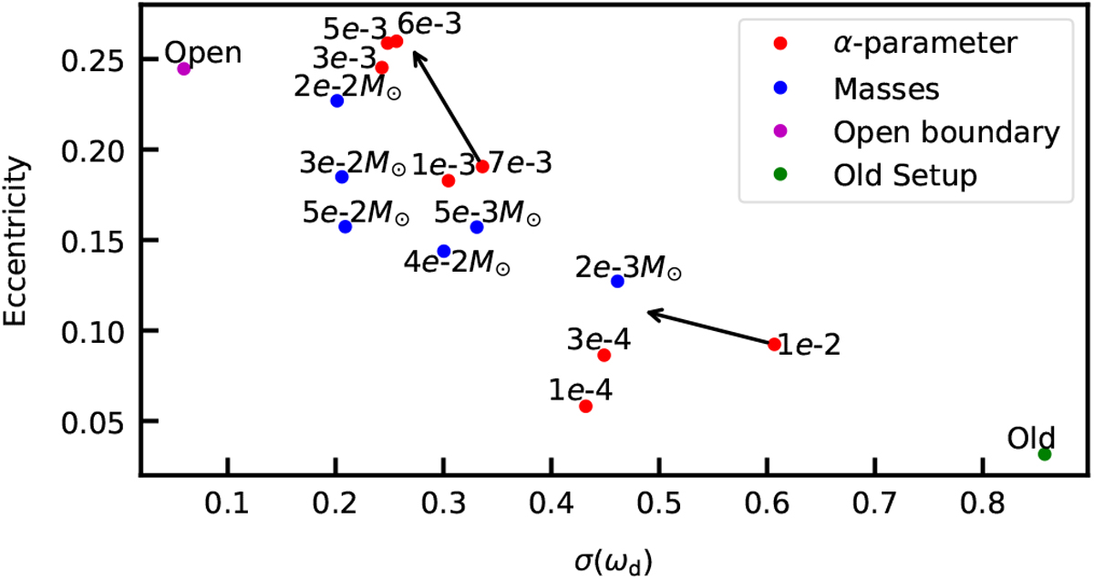
Disk eccentricity plotted against the standard deviation of the longitude of pericenter of all cells. The values mass averaged and time averaged over 200 snapshots at binary periastron from T = 1300 Tbin to T = 1500 Tbin. The old setup is using the standard parameters presented in Müller & Kley (2012). The arrows indicate the state after 2000 Tbin.
Current usage metrics show cumulative count of Article Views (full-text article views including HTML views, PDF and ePub downloads, according to the available data) and Abstracts Views on Vision4Press platform.
Data correspond to usage on the plateform after 2015. The current usage metrics is available 48-96 hours after online publication and is updated daily on week days.
Initial download of the metrics may take a while.