Free Access

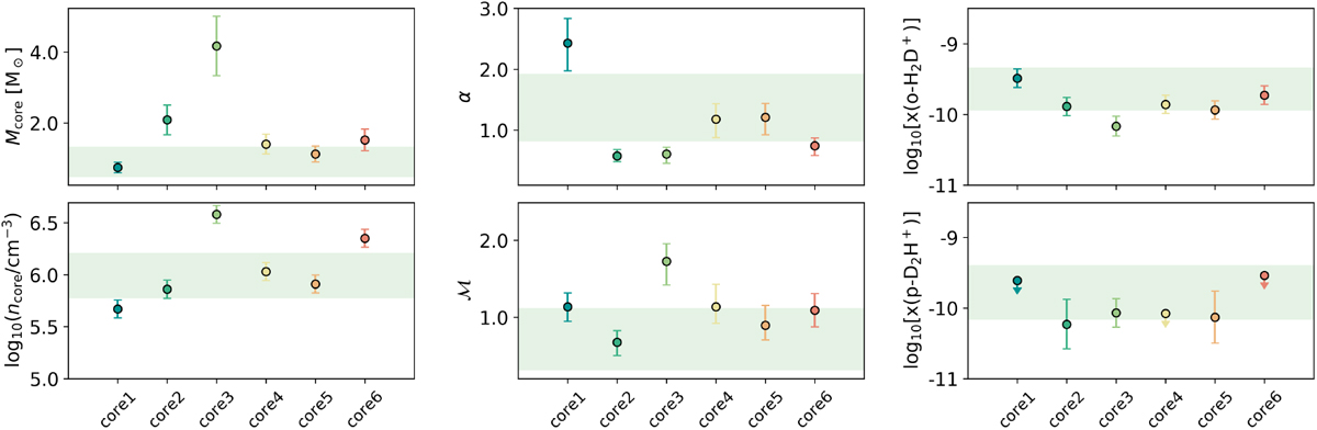
Fig. 5

image

Download original image

Physical properties of the simulated and observed cores. We report the core mass and volume density (left column), as well as the virial parameter and Mach number (centre), calculated from the formulae reported in Appendix A. In the right column, we also report the fractional abundances of the two tracers in logarithmic scale, x(o-D2H+) and x(o-H2D+). Observed cores are reported as circles, while the green shaded area represents the range of values obtained for the simulated cores identified in our filaments (properties reported in Table 4).

Current usage metrics show cumulative count of Article Views (full-text article views including HTML views, PDF and ePub downloads, according to the available data) and Abstracts Views on Vision4Press platform.

Data correspond to usage on the plateform after 2015. The current usage metrics is available 48-96 hours after online publication and is updated daily on week days.

Initial download of the metrics may take a while.