Fig. 1.

Download original image
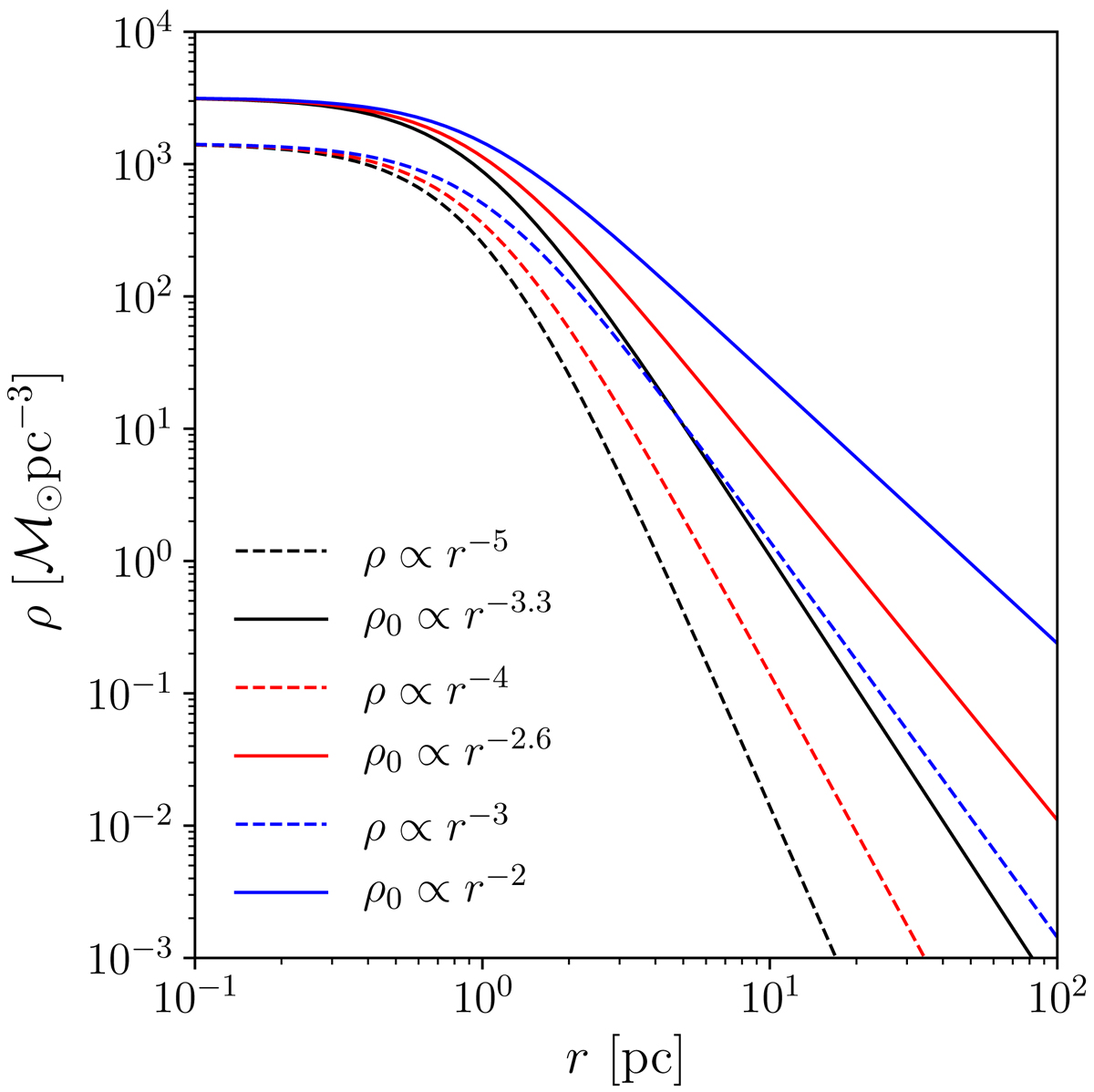
Plummer-like power law density profiles of stellar clusters for q = 3, 4, 5, and of the corresponding initial gas, with p = 2, 2.6, 3.3. The density profiles of the initial gas were recovered according to the star cluster formation model of Parmentier & Pfalzner (2013), alike in Shukirgaliyev et al. (2017), for ϵff = 0.05, and tSF = 3 Myr.
Current usage metrics show cumulative count of Article Views (full-text article views including HTML views, PDF and ePub downloads, according to the available data) and Abstracts Views on Vision4Press platform.
Data correspond to usage on the plateform after 2015. The current usage metrics is available 48-96 hours after online publication and is updated daily on week days.
Initial download of the metrics may take a while.