Free Access

Fig. 2.

image

Download original image

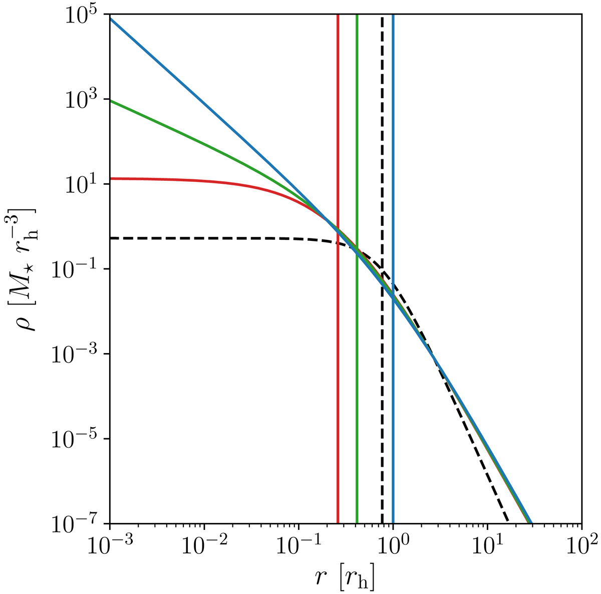
Volume density profiles of star clusters with equal masses and half-mass radii corresponding to the Dehnen models (γ = 0, 1, 2 in red, green and blue solid lines, respectively), and the Plummer model (black dashed line). The vertical lines show the corresponding scale radii, aD and aP with respective colors.

Current usage metrics show cumulative count of Article Views (full-text article views including HTML views, PDF and ePub downloads, according to the available data) and Abstracts Views on Vision4Press platform.

Data correspond to usage on the plateform after 2015. The current usage metrics is available 48-96 hours after online publication and is updated daily on week days.

Initial download of the metrics may take a while.