Fig. 6.

Download original image
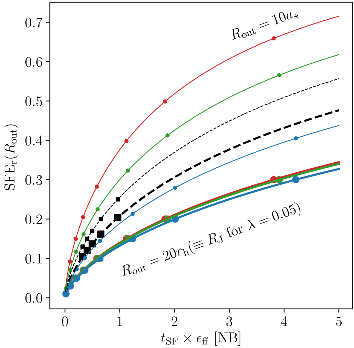
So-called “global” SFEs as measured by SFE_J and SFE_10 of model clusters presented as functions of tSFϵff, represented by red, green, and blue solid lines for the Dehnen models with γ = 0, 1, and 2, and dashed lines for the Plummer model, in thick and thin lines, respectively. The marked points correspond to the parameterization values of SFE_J for the Dehnen models, and SFE10 for the Plummer models, respectively.
Current usage metrics show cumulative count of Article Views (full-text article views including HTML views, PDF and ePub downloads, according to the available data) and Abstracts Views on Vision4Press platform.
Data correspond to usage on the plateform after 2015. The current usage metrics is available 48-96 hours after online publication and is updated daily on week days.
Initial download of the metrics may take a while.