Fig. 3.

Download original image
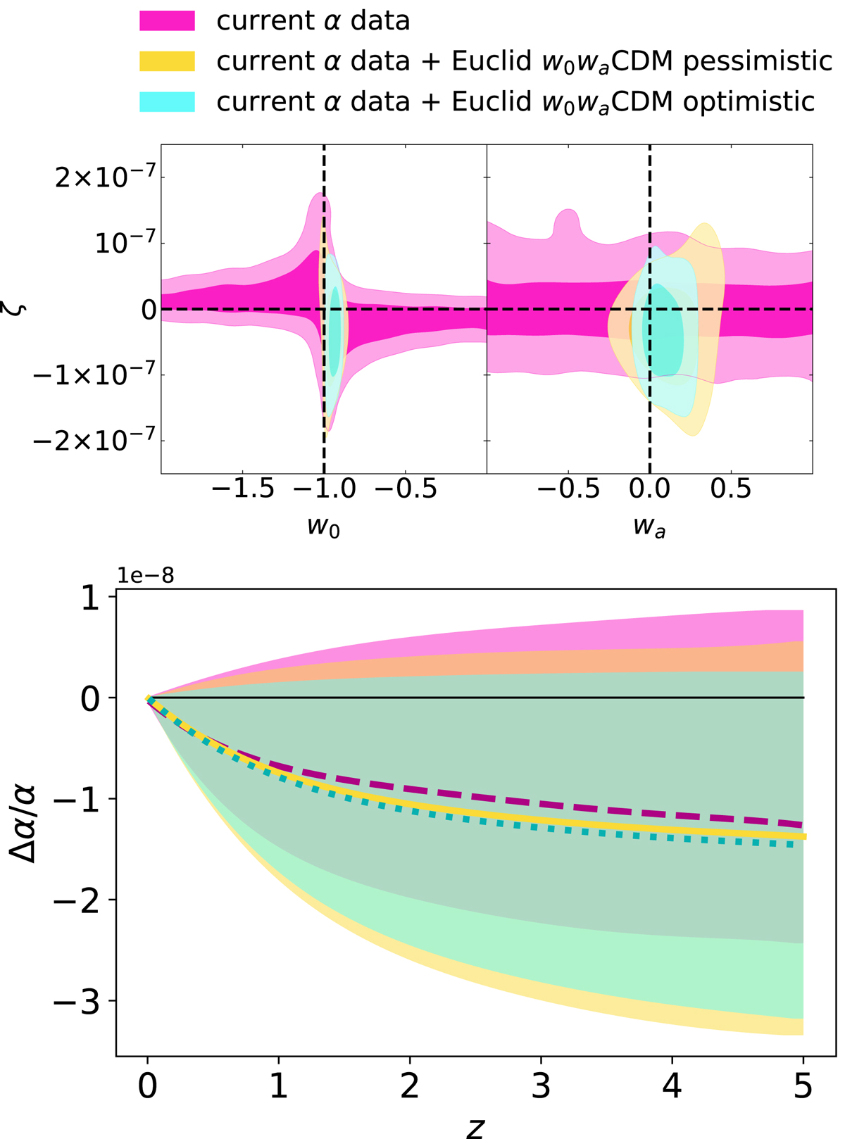
Same as Fig. 2, but when the fiducial used to obtain the Euclid results is ζw0waCDM. Notice that here we use currently available direct measurements of α, which are not impacted by our choice of fiducial cosmology. Thus, the modified ζ fiducial value does not affect these results, as the Euclid probes considered are not sensitive to this parameter.
Current usage metrics show cumulative count of Article Views (full-text article views including HTML views, PDF and ePub downloads, according to the available data) and Abstracts Views on Vision4Press platform.
Data correspond to usage on the plateform after 2015. The current usage metrics is available 48-96 hours after online publication and is updated daily on week days.
Initial download of the metrics may take a while.