Open Access

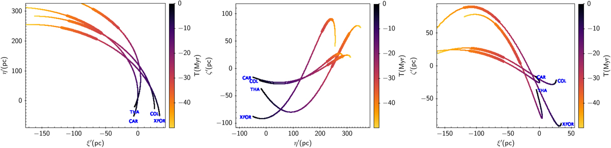
Fig. 5.

image

Download original image

Orbits of the young stellar groups integrated back in time in a curvilinear coordinate system using a 3D axisymmetric galactic potential. The orbits are colour-coded based on the integration time used in our calculations. The thicker lines roughly indicate the assumed age (∼30−40 Myr) of these young stellar groups given in the literature (see also Sect. 4.4).

Current usage metrics show cumulative count of Article Views (full-text article views including HTML views, PDF and ePub downloads, according to the available data) and Abstracts Views on Vision4Press platform.

Data correspond to usage on the plateform after 2015. The current usage metrics is available 48-96 hours after online publication and is updated daily on week days.

Initial download of the metrics may take a while.