Fig. 5.

Download original image
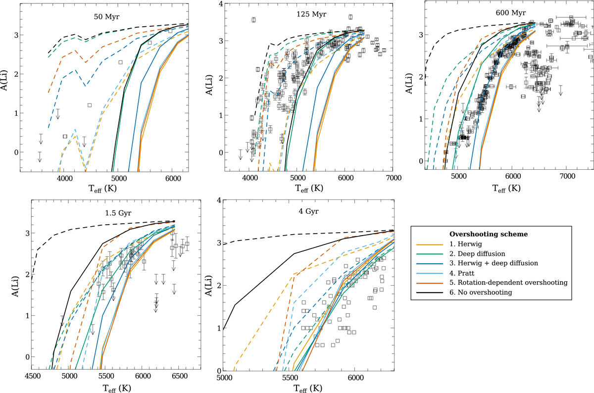
Comparison between the observed lithium abundance in dwarf stars in clusters of various ages and predictions from models with fast (dashed) and slow (solid line) rotation with six different treatments of mixing near convective boundaries and the modified stability criterion. Data for IC 2391 and IC 2602 (50 Myr) are from Randich et al. (2001); Pleiades data (125 Myr) are from Randich et al. (2001); data for the Hyades (600 Myr) are from Pace et al. (2012) and Cummings et al. (2017) and for Praesepe (600 Myr) are from Cummings et al. (2017); data for NGC 752 (1.5 Gyr) are from Castro et al. (2016); and M 67 (4 Gyr) are from Pace et al. (2012). Data shown from Cummings et al. (2017) is limited to stars for which a Teff uncertainty was given.
Current usage metrics show cumulative count of Article Views (full-text article views including HTML views, PDF and ePub downloads, according to the available data) and Abstracts Views on Vision4Press platform.
Data correspond to usage on the plateform after 2015. The current usage metrics is available 48-96 hours after online publication and is updated daily on week days.
Initial download of the metrics may take a while.