Free Access

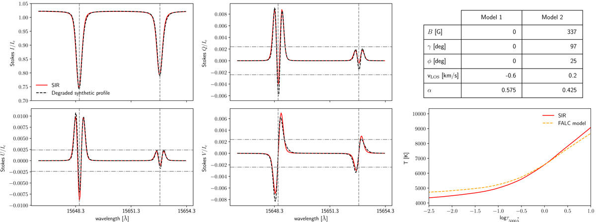
Fig. 11.

image

Download original image

Sample V3 profile, showing the full Stokes vector for the 15648.52/15652.87 Å line pair in the left four panels, along with the S1 synthetic profiles derived from the SIR inversions. The horizontal (dot-dashed) lines show the 3σn noise thresholds for the polarized Stokes vectors, while the vertical (dashed) lines denote the rest wavelengths of each spectral line. On the right, the retrieved atmospheric parameters from SIR is shown in the table, while the temperature as a function of optical depth is shown in the lower right plot with the original FALC input model. The arrow in Fig. 9 indicates the spatial location of the sample profile.

Current usage metrics show cumulative count of Article Views (full-text article views including HTML views, PDF and ePub downloads, according to the available data) and Abstracts Views on Vision4Press platform.

Data correspond to usage on the plateform after 2015. The current usage metrics is available 48-96 hours after online publication and is updated daily on week days.

Initial download of the metrics may take a while.