Free Access

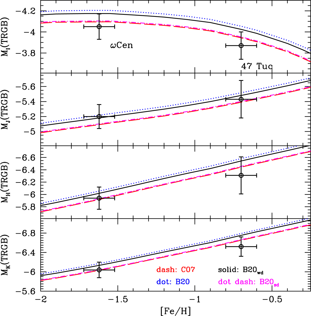
Fig. 7.

image

Download original image

Theoretical TRGB absolute magnitudes in the I (Cousins) and JHK (Bessel & Brett system) filters as a function of [Fe/H], for the four choices of conductive opacities discussed in this section (see labels and text for details). We also show (circles with error bars) the measured TRGB absolute magnitude in the Galactic globular clusters 47 Tuc and ω Centauri.

Current usage metrics show cumulative count of Article Views (full-text article views including HTML views, PDF and ePub downloads, according to the available data) and Abstracts Views on Vision4Press platform.

Data correspond to usage on the plateform after 2015. The current usage metrics is available 48-96 hours after online publication and is updated daily on week days.

Initial download of the metrics may take a while.