Fig. 2.

Download original image
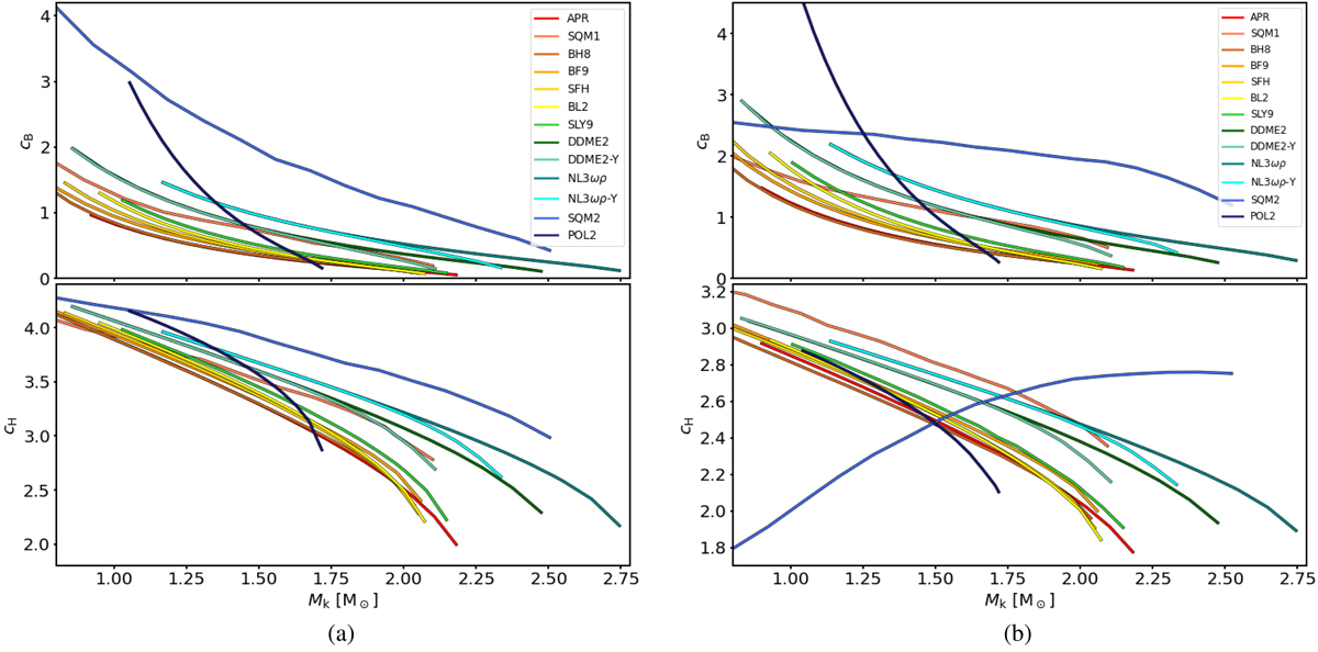
Distortion coefficients cB and cH, calculated according to Eq. (11), as functions of the Komar mass Mk for purely poloidal (panel a) and purely toroidal (panel b) magnetic fields, in GR. The EoS are colour-coded, and ordered in the legend, according to the compactness C = Mk/Rc calculated at Mk = 1.4 M⊙ in GR: red for the highest compactness and blue for the lowest compactness.
Current usage metrics show cumulative count of Article Views (full-text article views including HTML views, PDF and ePub downloads, according to the available data) and Abstracts Views on Vision4Press platform.
Data correspond to usage on the plateform after 2015. The current usage metrics is available 48-96 hours after online publication and is updated daily on week days.
Initial download of the metrics may take a while.