Open Access

Fig. 14

image

Download original image

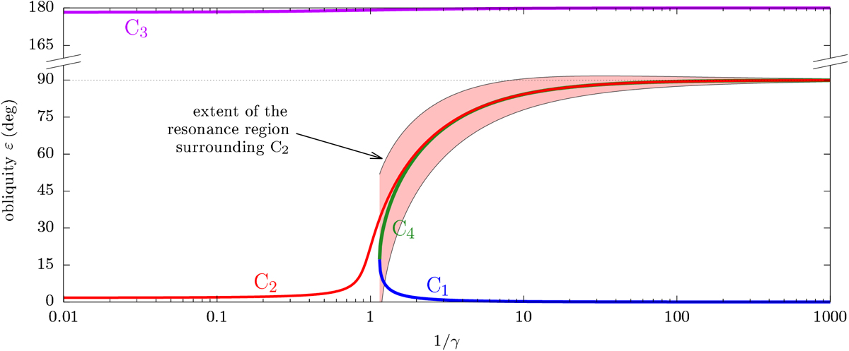
Bifurcation diagram of the system as a function of 1∕γ, which is proportional to α. The second parameter used in this example is β = 0.03γ. The Cassini states are labelled with the same colour code as previous figures.

Current usage metrics show cumulative count of Article Views (full-text article views including HTML views, PDF and ePub downloads, according to the available data) and Abstracts Views on Vision4Press platform.

Data correspond to usage on the plateform after 2015. The current usage metrics is available 48-96 hours after online publication and is updated daily on week days.

Initial download of the metrics may take a while.