Open Access

Fig. B.1

image

Download original image

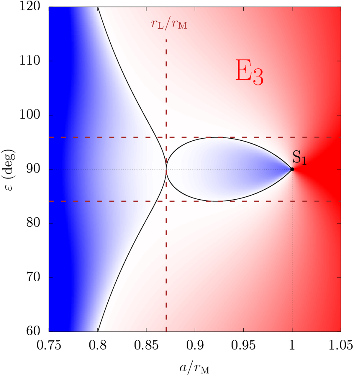
Region E3 of the parameter space where the Laplace state P3 is unstable to eccentricity variations. The colours and labels have the same meaning as in Fig. 8, and the axes have the same scale. The border of E3 is obtained using the closed-form expression in Eqs. (B.11) and (22). The drop-like portion of the contour reaches its maximum width at where the obliquity on the boundary is .

Current usage metrics show cumulative count of Article Views (full-text article views including HTML views, PDF and ePub downloads, according to the available data) and Abstracts Views on Vision4Press platform.

Data correspond to usage on the plateform after 2015. The current usage metrics is available 48-96 hours after online publication and is updated daily on week days.

Initial download of the metrics may take a while.