Free Access
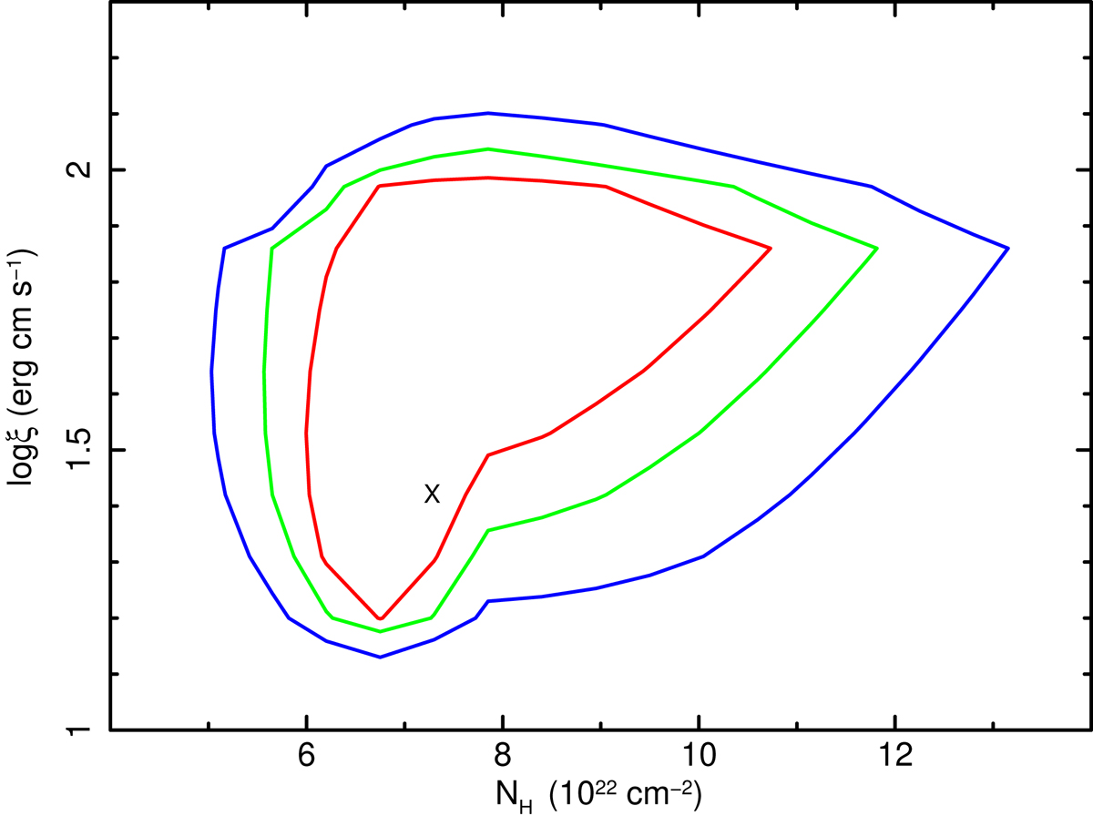
Fig. 4.

Download original image
Contour plot for the ionization log ξ and the column density NH. The red line represents the 1σ confidence level (68%), and the green and blue lines represent the 2σ (95%) and 3σ (99.7%) confidence levels. The cross marks the best-fit values.
Current usage metrics show cumulative count of Article Views (full-text article views including HTML views, PDF and ePub downloads, according to the available data) and Abstracts Views on Vision4Press platform.
Data correspond to usage on the plateform after 2015. The current usage metrics is available 48-96 hours after online publication and is updated daily on week days.
Initial download of the metrics may take a while.