Free Access

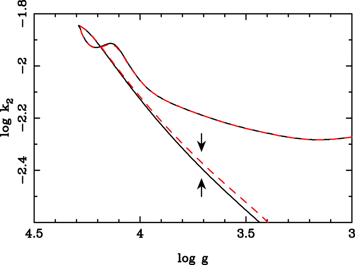
Fig. 11.

image

Download original image

log g − log k2 diagram for the primary of V453 Cyg and adopting Z = 0.0134. The solid line indicates a model with fov = 0.03 while the dashed one represents a model computed with fov = 0.02. The two arrows indicate the observed value of log g. The resulting difference in is ≈ − 0.01.

Current usage metrics show cumulative count of Article Views (full-text article views including HTML views, PDF and ePub downloads, according to the available data) and Abstracts Views on Vision4Press platform.

Data correspond to usage on the plateform after 2015. The current usage metrics is available 48-96 hours after online publication and is updated daily on week days.

Initial download of the metrics may take a while.