Free Access

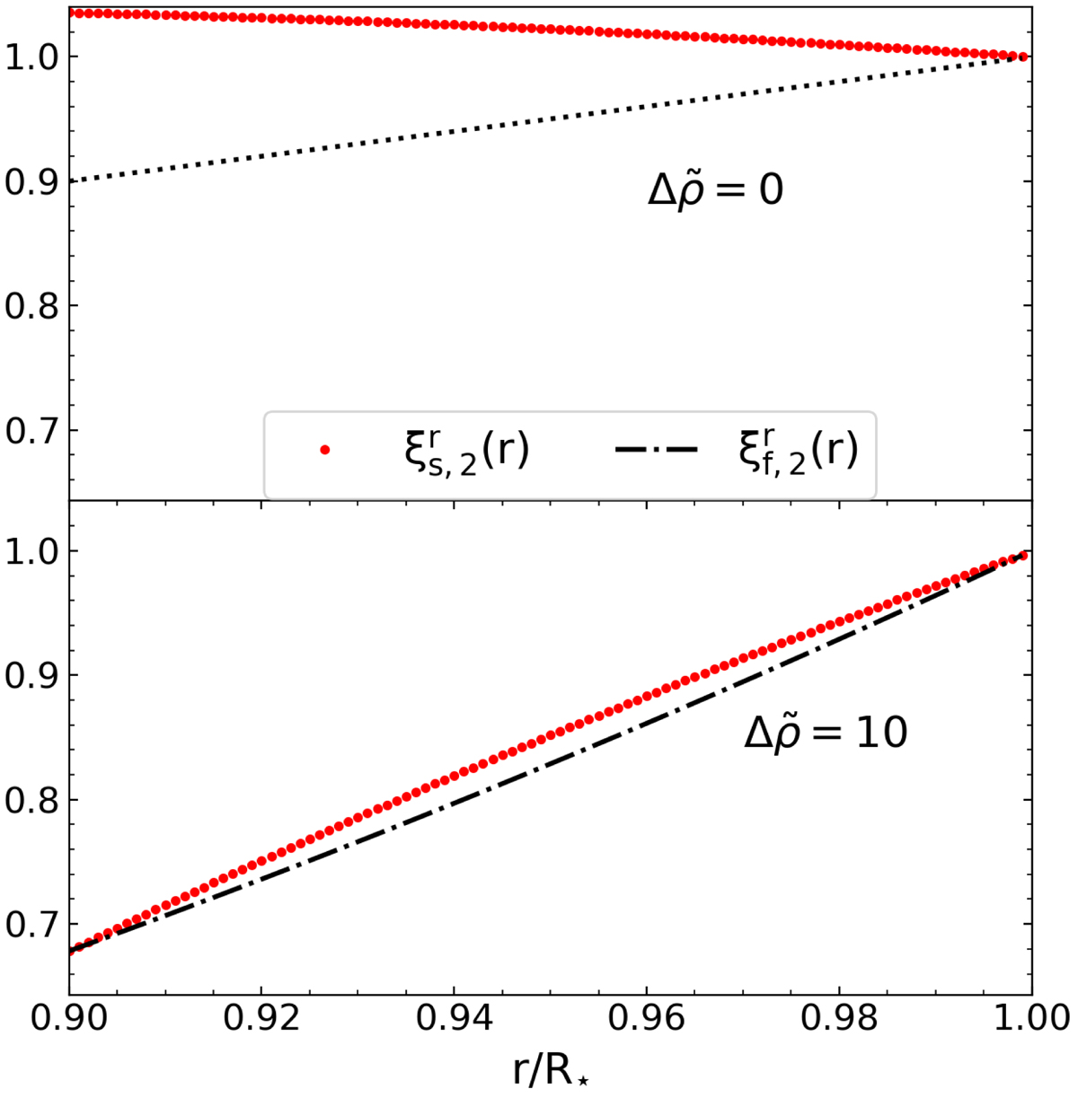
Fig. 4.

image

Download original image

Normalized radial displacements in the neutron star crust with interface radius , both for purely fluid matter (dash-dotted line) and for an elastic crust with β = 10−4 (red dots). The upper panel corresponds to a very small density difference, , whereas the lower panel shows a star with a much denser core, .

Current usage metrics show cumulative count of Article Views (full-text article views including HTML views, PDF and ePub downloads, according to the available data) and Abstracts Views on Vision4Press platform.

Data correspond to usage on the plateform after 2015. The current usage metrics is available 48-96 hours after online publication and is updated daily on week days.

Initial download of the metrics may take a while.