Free Access

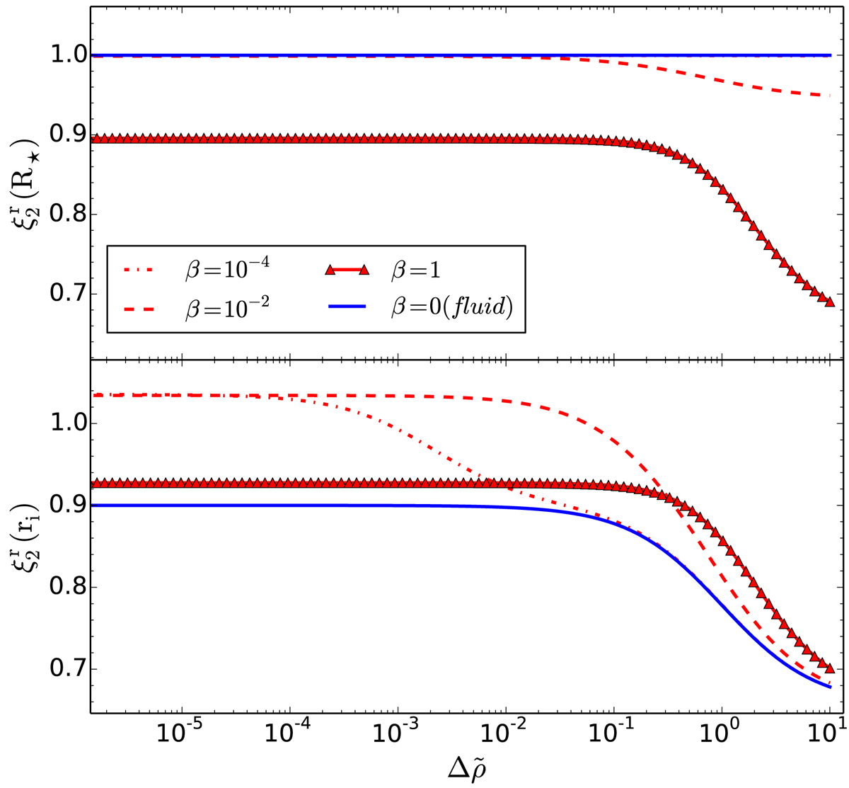
Fig. 5.

image

Download original image

Normalized radial displacement at the stellar surface (r = R; upper panel) and at the crust-core interface (r = Ri = 0.9R; lower panel) as a function of the normalized density difference between the core and the crust. The blue line corresponds to a completely fluid star, whereas the other lines correspond to stars with an elastic crust, for different values of β.

Current usage metrics show cumulative count of Article Views (full-text article views including HTML views, PDF and ePub downloads, according to the available data) and Abstracts Views on Vision4Press platform.

Data correspond to usage on the plateform after 2015. The current usage metrics is available 48-96 hours after online publication and is updated daily on week days.

Initial download of the metrics may take a while.