Fig. 2.

Download original image
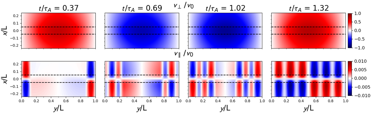
Results of the Lare2d simulation for a model with cS/vA = 0.190, temperature 1 MK and plasma-β = 0.043. Velocities are normalised by the internal Alfén speed vA0. Time is normalised by the Alfvén travel time τA = 2L/vA. The two horizontal dashed lines indicate positions |x|=a. Top panels: transverse velocity vx/vA0 in the spatial numerical domain for four times. Bottom panels: longitudinal velocity vy/vA0 in the spatial numerical domain for the same four times.
Current usage metrics show cumulative count of Article Views (full-text article views including HTML views, PDF and ePub downloads, according to the available data) and Abstracts Views on Vision4Press platform.
Data correspond to usage on the plateform after 2015. The current usage metrics is available 48-96 hours after online publication and is updated daily on week days.
Initial download of the metrics may take a while.