Free Access

Fig. 1.

image

Download original image

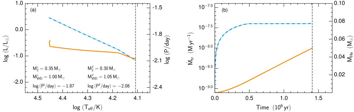
Left panel: evolutionary tracks of the luminosity of the He-star companion (dash-dotted cyan line) and the orbital period of the binary system (solid orange line) during the whole mass-transfer process until the SN Ia explosion. Right panel: time evolution of the mass transfer rate (tr; dash-dotted cyan line) and the mass growth of a helium shell onto the WD (MHe; solid orange line). The vertical dotted lines give the moment of the SN explosion. The initial and final binary parameters (WD mass MWD, companion mass M2, and orbital period P) in our detailed binary calculations are shown in the plot and indicated with superscript letters ‘i’ and ‘f’, respectively.

Current usage metrics show cumulative count of Article Views (full-text article views including HTML views, PDF and ePub downloads, according to the available data) and Abstracts Views on Vision4Press platform.

Data correspond to usage on the plateform after 2015. The current usage metrics is available 48-96 hours after online publication and is updated daily on week days.

Initial download of the metrics may take a while.