Free Access

Fig. 9.

image

Download original image

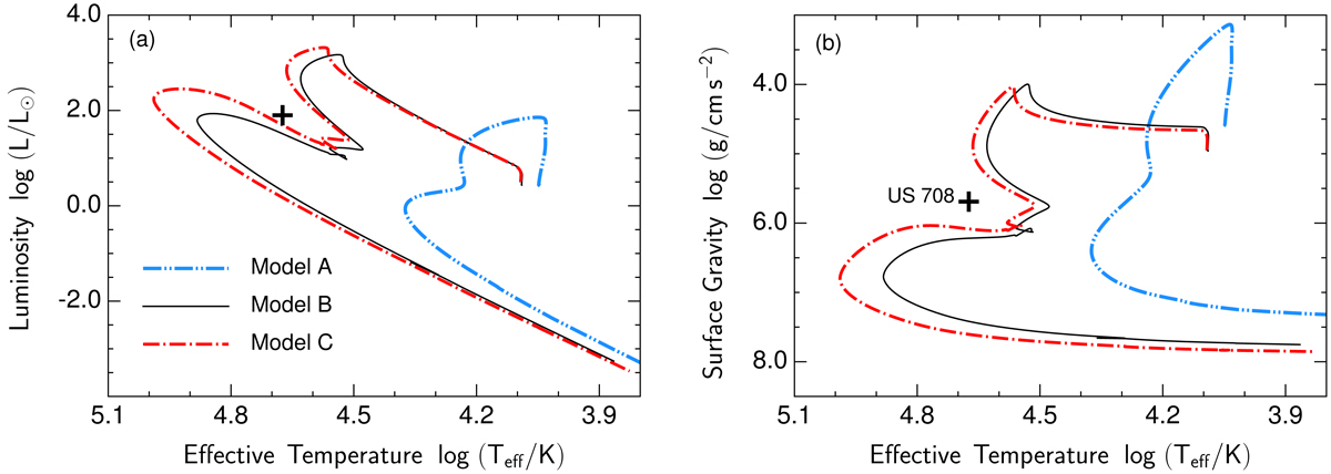
Similar to Fig. 6, but for the more massive He-star donor models with a post-impact mass of 0.45 M (solid black line) and 0.50 M (dash-dotted red line). For a comparison, the results of the 0.30 M He donor model of Fig. 6 are shown as a double-dotted line. The observed properties of US 708 are indicated with a black plus sign.

Current usage metrics show cumulative count of Article Views (full-text article views including HTML views, PDF and ePub downloads, according to the available data) and Abstracts Views on Vision4Press platform.

Data correspond to usage on the plateform after 2015. The current usage metrics is available 48-96 hours after online publication and is updated daily on week days.

Initial download of the metrics may take a while.