Fig. 5

Download original image
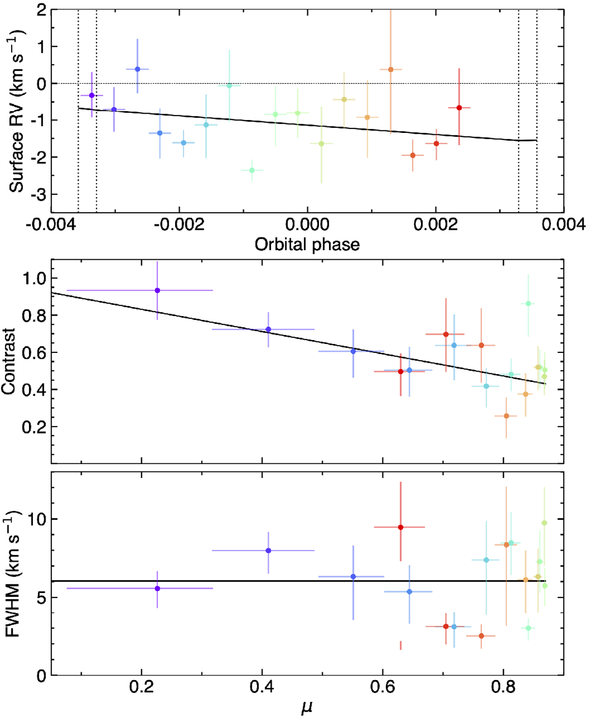
Properties of the stellar surface regions occulted by HD 3167 c. Data points are colored as a function of orbital phase. Horizontal bars indicate the range of abscissa property covered by the planet in each exposure. Vertical bars indicate the 1σ HDI (multiple in case of multimodal PDFs). Solid black curves are the best-fit models to each property, derived using the RMR approach. Top panel: surface RVs as a function of orbital phase. Dashed vertical lines are the transit contacts. The horizontal dashed line indicates the stellar rest velocity. Bottom panel: local contrast and FWHM as a function of μ. Model values correspond to the observed line, i.e., they account for the instrumental convolution.
Current usage metrics show cumulative count of Article Views (full-text article views including HTML views, PDF and ePub downloads, according to the available data) and Abstracts Views on Vision4Press platform.
Data correspond to usage on the plateform after 2015. The current usage metrics is available 48-96 hours after online publication and is updated daily on week days.
Initial download of the metrics may take a while.