Fig. 7

Download original image
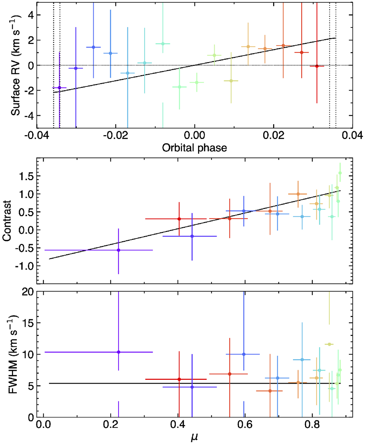
Properties of the stellar surface regions occulted by HD 3167 b (same details as in Fig. 5). The local stellar line cannot be detected in individual exposures, as can be seen from the broad HDI of the line model parameters. Nonetheless, the RV HDIs are not entirely set by the uniform prior, showing that individual exposures contain information on the local stellar line that can be exploited via a global fit to the transit time series. We thus emphasize that the solid black lines models were not fitted to the properties loosely constrained by each individual exposure, but were derived from the global fit to the CCFintr time series.
Current usage metrics show cumulative count of Article Views (full-text article views including HTML views, PDF and ePub downloads, according to the available data) and Abstracts Views on Vision4Press platform.
Data correspond to usage on the plateform after 2015. The current usage metrics is available 48-96 hours after online publication and is updated daily on week days.
Initial download of the metrics may take a while.