Fig. 6.

Download original image
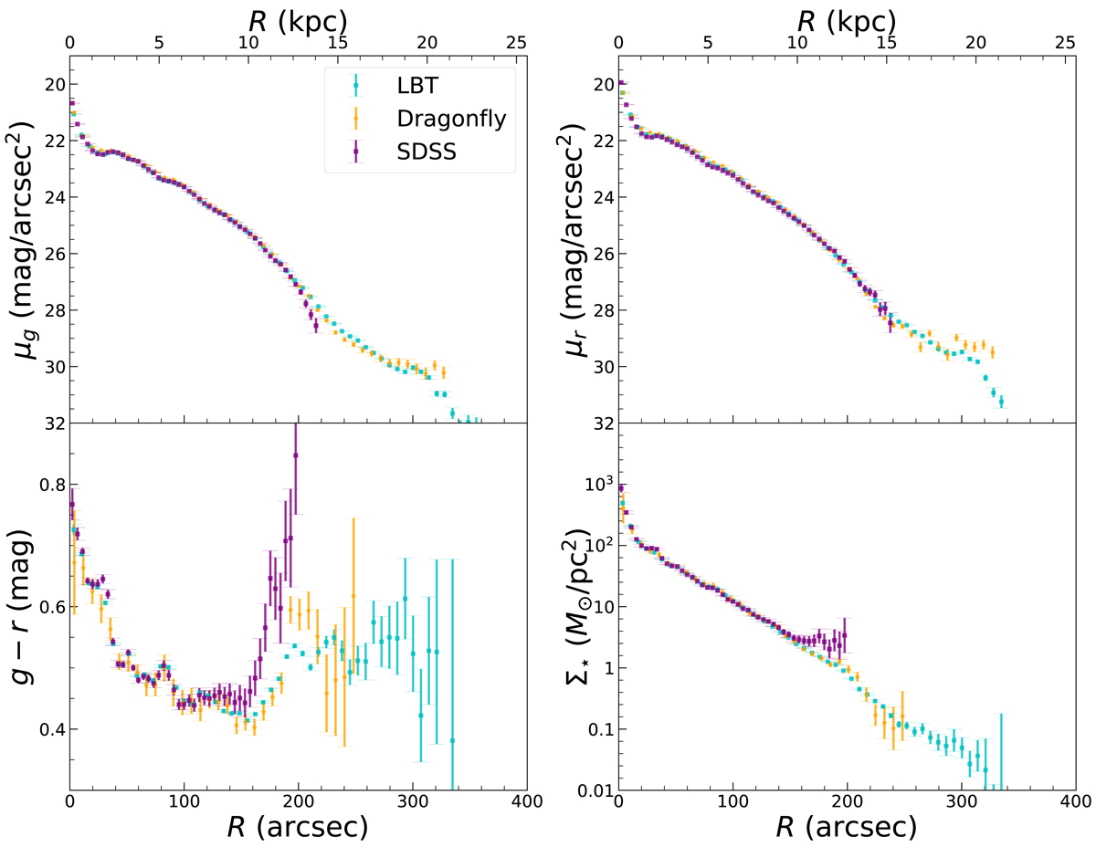
Surface brightness, colour and stellar mass density profiles of NGC 1042 using LBT, Dragonfly and SDSS which have different depths. The surface brightness profiles shown here correspond to the observed values while the radial colour and stellar mass density profiles are shown after being corrected by Galactic extinction and the inclination of NGC 1042. In the case of the surface brightness profiles, only values above 3σ the sky noise of the image are shown.
Current usage metrics show cumulative count of Article Views (full-text article views including HTML views, PDF and ePub downloads, according to the available data) and Abstracts Views on Vision4Press platform.
Data correspond to usage on the plateform after 2015. The current usage metrics is available 48-96 hours after online publication and is updated daily on week days.
Initial download of the metrics may take a while.