Free Access
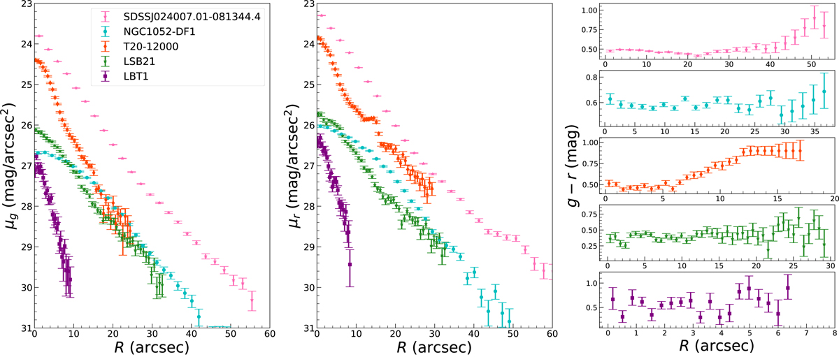
Fig. 8.

Download original image
Observed surface brightness profiles of faint galaxies in the field of view of NGC 1042. Left and middle panel: observed surface brightness profiles in the g and r bands. Right panel: colour radial profiles (corrected for Galactic extinction) down to the distance where the error in their colour values is less than ±0.2 mag.
Current usage metrics show cumulative count of Article Views (full-text article views including HTML views, PDF and ePub downloads, according to the available data) and Abstracts Views on Vision4Press platform.
Data correspond to usage on the plateform after 2015. The current usage metrics is available 48-96 hours after online publication and is updated daily on week days.
Initial download of the metrics may take a while.