Fig. 9

Download original image
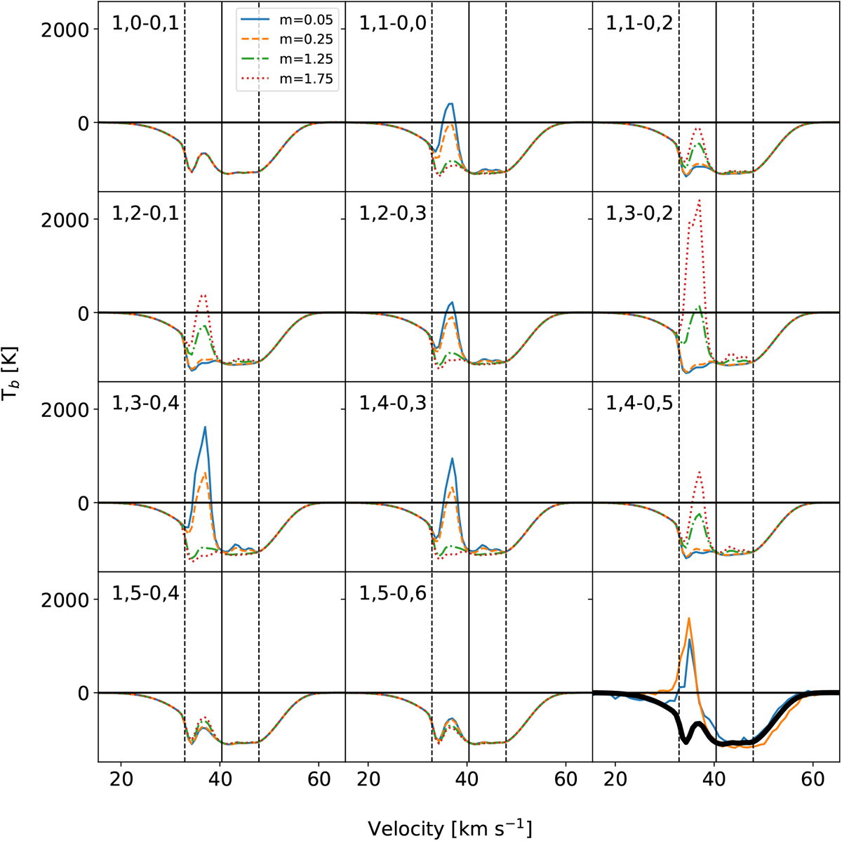
Radiative transfer models of the CO J = 3−2 emissionaround W Hya including increased or decreased IR pumping for selected v = 0 to v = 1 vibrational transitions around a wavelength of 4.6 μm. The panels are labelled with the v, J − v′, J′ quantum numbers of the transition at which the incident radiation field from the star is decreased or enhanced. The bottom right panel indicates the baseline model and the observations. Based on observations by Justtanont et al. (2004), the models assume that the radiation field at 4.6 μm for all transitions is reduced to 85% of the stellar black-body radiation field due to atmospheric absorption. The incident black-body IR emission for the individual lines presented in each panel is multiplied by a factor m, where m < 0.85 indicated enhanced absorption, while m > 0.85 indicates a reduction in atmospheric absorption or even extra emission. The vertical lines are as in Fig. 4.
Current usage metrics show cumulative count of Article Views (full-text article views including HTML views, PDF and ePub downloads, according to the available data) and Abstracts Views on Vision4Press platform.
Data correspond to usage on the plateform after 2015. The current usage metrics is available 48-96 hours after online publication and is updated daily on week days.
Initial download of the metrics may take a while.