Fig. 3

Download original image
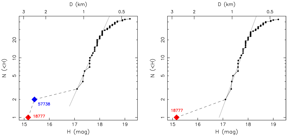
Cumulative distribution N(< H) of the absolute magnitude H for known Hobson family members. Left panel: all members included: the red and blue diamonds denote the two largest remnants (18777) Hobson and (57738) 2001 UZ160, and filled circles show small members in the family. The gray line shows the power-law relation N(< H)∝ 10γH for γ = 0.95, which approximates the distribution of small members. Right panel: the second largest member, (57738) 2001 UZ160, is excluded from the distribution: the red diamond denotes (18777) Hobson, and the filled circles are smaller fragments in the family. The power-law relation N(< H)∝ 10γH has now γ = 1.15 (simply as an effect of removing the second largest body from the sample and linear-logarithmic scales on the axes). The upper abscissa in both panels provides an estimate of the size, assuming the geometric albedo pV = 0.2 (a plausible value for S-type asteroids).
Current usage metrics show cumulative count of Article Views (full-text article views including HTML views, PDF and ePub downloads, according to the available data) and Abstracts Views on Vision4Press platform.
Data correspond to usage on the plateform after 2015. The current usage metrics is available 48-96 hours after online publication and is updated daily on week days.
Initial download of the metrics may take a while.