Free Access

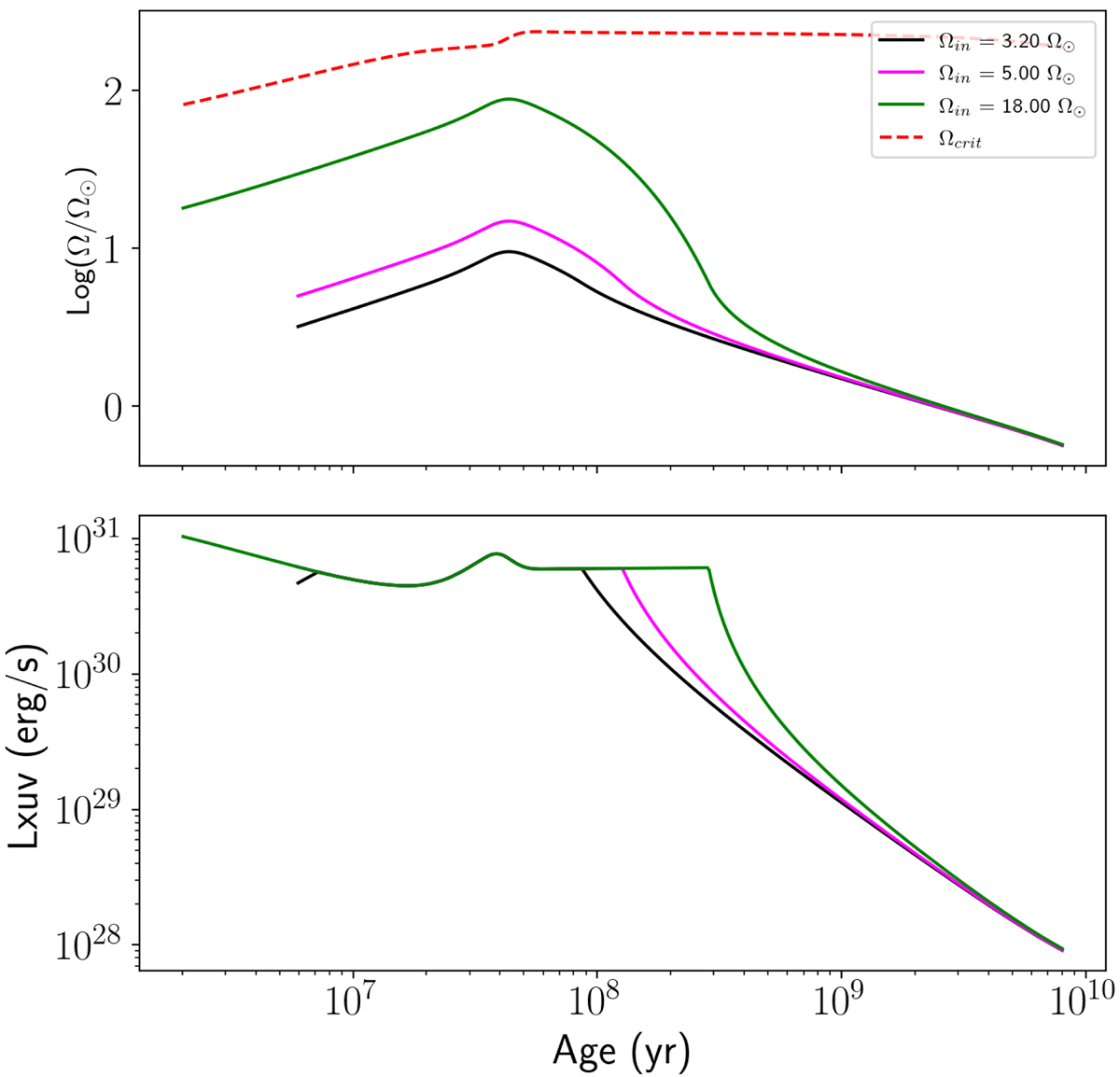
Fig. 1.

image

Download original image

Top panel: evolution of the surface rotation rate of TOI-849 for a fast, medium, and slow rotator Ωin = 18, 5, 3.2 Ω (green, magenta, and black line, respectively). The red-dashed line indicates the evolution of the critical rotation velocity (Ωcrit), defined as the velocity at which the centrifugal acceleration at the equator becomes equal to the gravity. Bottom panel: evolution of the XUV luminosities computed for each of the considered rotators. In both panels the starting point of the tracks corresponds to the dissipation of the protoplanetary disc (6 Myr for the slow and moderate rotators, 2 Myr for the fast one).

Current usage metrics show cumulative count of Article Views (full-text article views including HTML views, PDF and ePub downloads, according to the available data) and Abstracts Views on Vision4Press platform.

Data correspond to usage on the plateform after 2015. The current usage metrics is available 48-96 hours after online publication and is updated daily on week days.

Initial download of the metrics may take a while.