Fig. 3.

Download original image
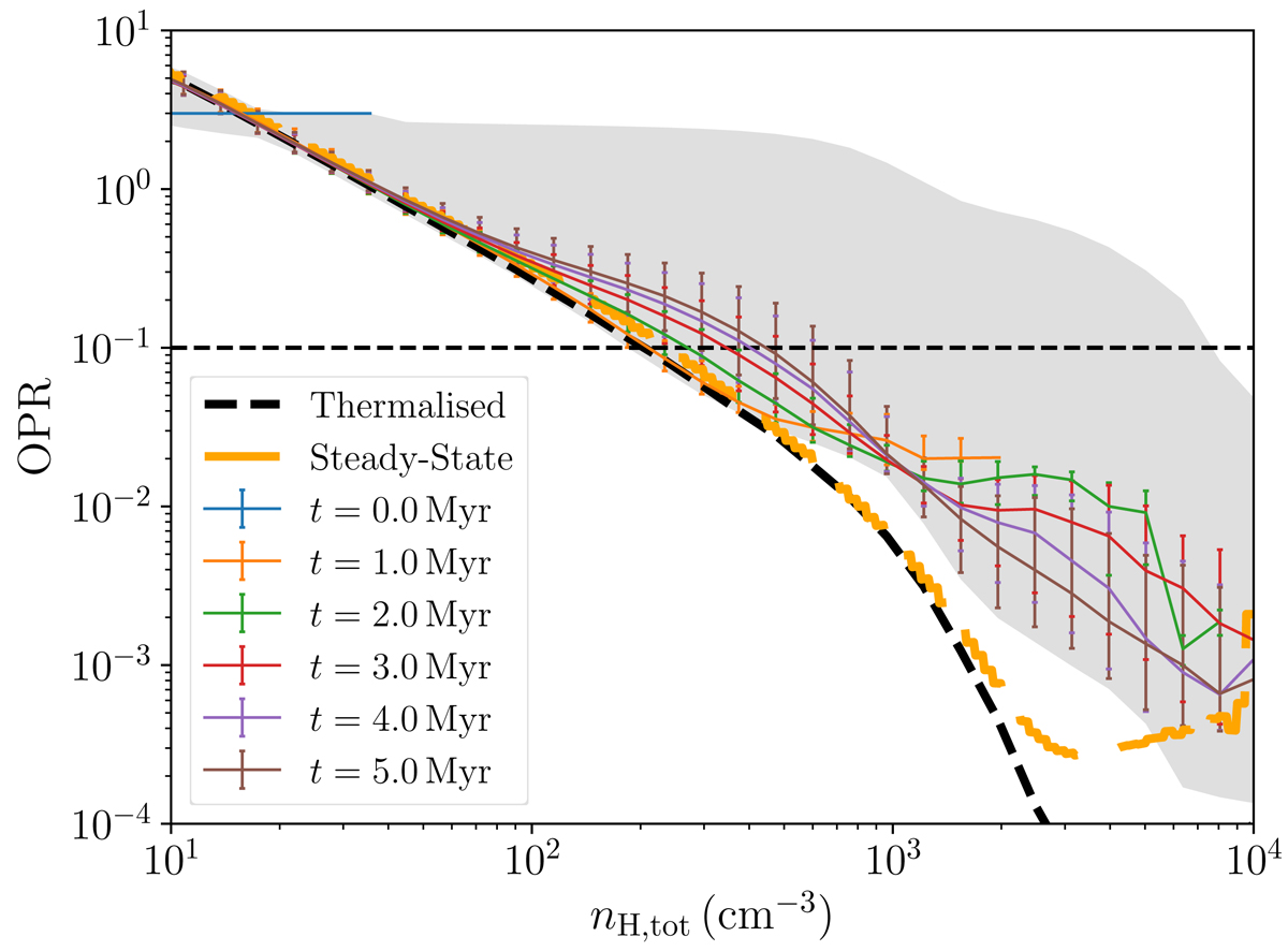
Three-dimensional distribution of the OPR as a function of nH, tot. Each solid curve corresponds to a different time, with the error bars showing the 20th and 80th percentiles. The black dashed line is the thermalised OPR (i.e. the balance between the ortho-to-para and para-to-ortho conversion), valid for temperatures below ∼100 K, which correspond to densities higher than 30−40 cm−3 in our specific case, and the orange long-dashed line to the steady-state value (i.e. the ratio at chemical equilibrium self-consistently computed using our network). For completeness, we also show the total uncertainty resulting from our entire suite of simulations (see Appendix C) as a grey shaded area.
Current usage metrics show cumulative count of Article Views (full-text article views including HTML views, PDF and ePub downloads, according to the available data) and Abstracts Views on Vision4Press platform.
Data correspond to usage on the plateform after 2015. The current usage metrics is available 48-96 hours after online publication and is updated daily on week days.
Initial download of the metrics may take a while.