Fig. B.2.

Download original image
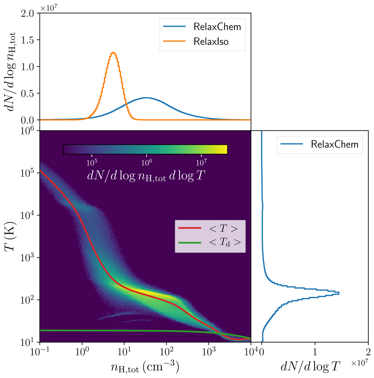
Distribution of the gas at the end of the relaxation phase. The density–temperature diagram corresponds to RelaxChem (this distribution does not change when gravity is included, apart from extending to higher densities as the gas collapses), with the red line representing the average temperature, and the green line the average dust temperature. The temperature-only distribution in the right-hand panel shows the typical temperature of the gas, 100–200 K, which is higher than the typical temperature assumed in isothermal molecular cloud simulations. In the top panel we show instead the density distribution for both relaxation models, where RelaxChem, extending to higher densities because of cooling, is shown in blue, and RelaxIso, more concentrated around the initial density, in orange.
Current usage metrics show cumulative count of Article Views (full-text article views including HTML views, PDF and ePub downloads, according to the available data) and Abstracts Views on Vision4Press platform.
Data correspond to usage on the plateform after 2015. The current usage metrics is available 48-96 hours after online publication and is updated daily on week days.
Initial download of the metrics may take a while.