Fig. C.3.

Download original image
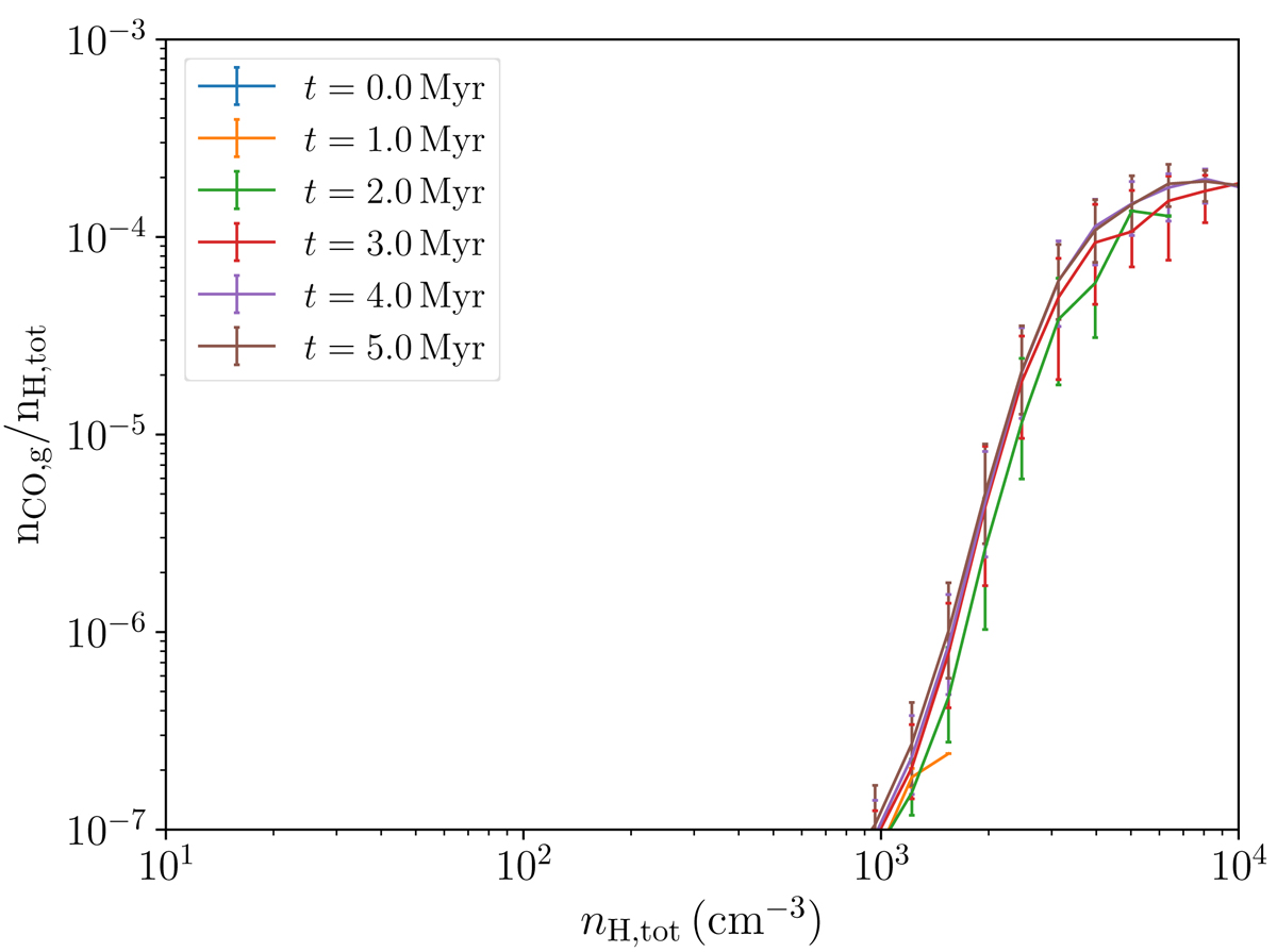
Fraction of CO in gas phase in our fiducial model, as a function of total hydrogen density. CO is able to form efficiently, reaching the canonical abundance in gas above nH, tot = 3 − 4 × 103 cm−3, before freeze-out on dust grains starts to deplete it, as expected. We also find that the abundance does not significantly vary with time, similarly to the OPR, as long as depletion remains almost negligible.
Current usage metrics show cumulative count of Article Views (full-text article views including HTML views, PDF and ePub downloads, according to the available data) and Abstracts Views on Vision4Press platform.
Data correspond to usage on the plateform after 2015. The current usage metrics is available 48-96 hours after online publication and is updated daily on week days.
Initial download of the metrics may take a while.