Free Access

Fig. 1

image

Download original image

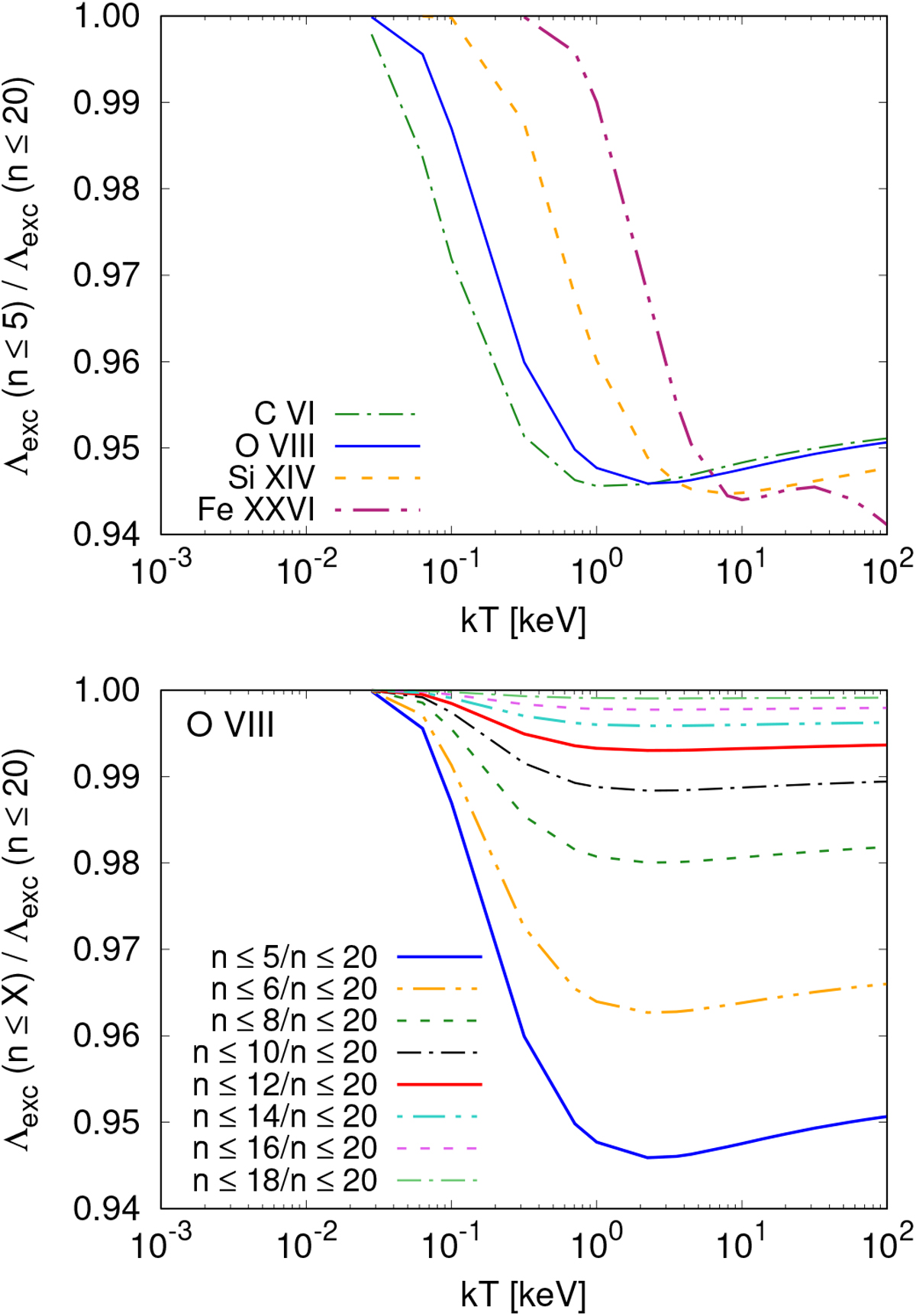
Top panel: cumulative radiative loss rate for all transitions up to the principal quantum number 5 Λexc (n ≤ 5) for H-like ions plotted relatively to the cumulative radiative loss rate for all transitions up to the principal quantum number 20 Λexc (n ≤ 20) as a function of temperature. Bottom panel: cumulative radiative loss rates for O VIII up to various values of n relative to Λexc(n ≤ 20).

Current usage metrics show cumulative count of Article Views (full-text article views including HTML views, PDF and ePub downloads, according to the available data) and Abstracts Views on Vision4Press platform.

Data correspond to usage on the plateform after 2015. The current usage metrics is available 48-96 hours after online publication and is updated daily on week days.

Initial download of the metrics may take a while.