Free Access

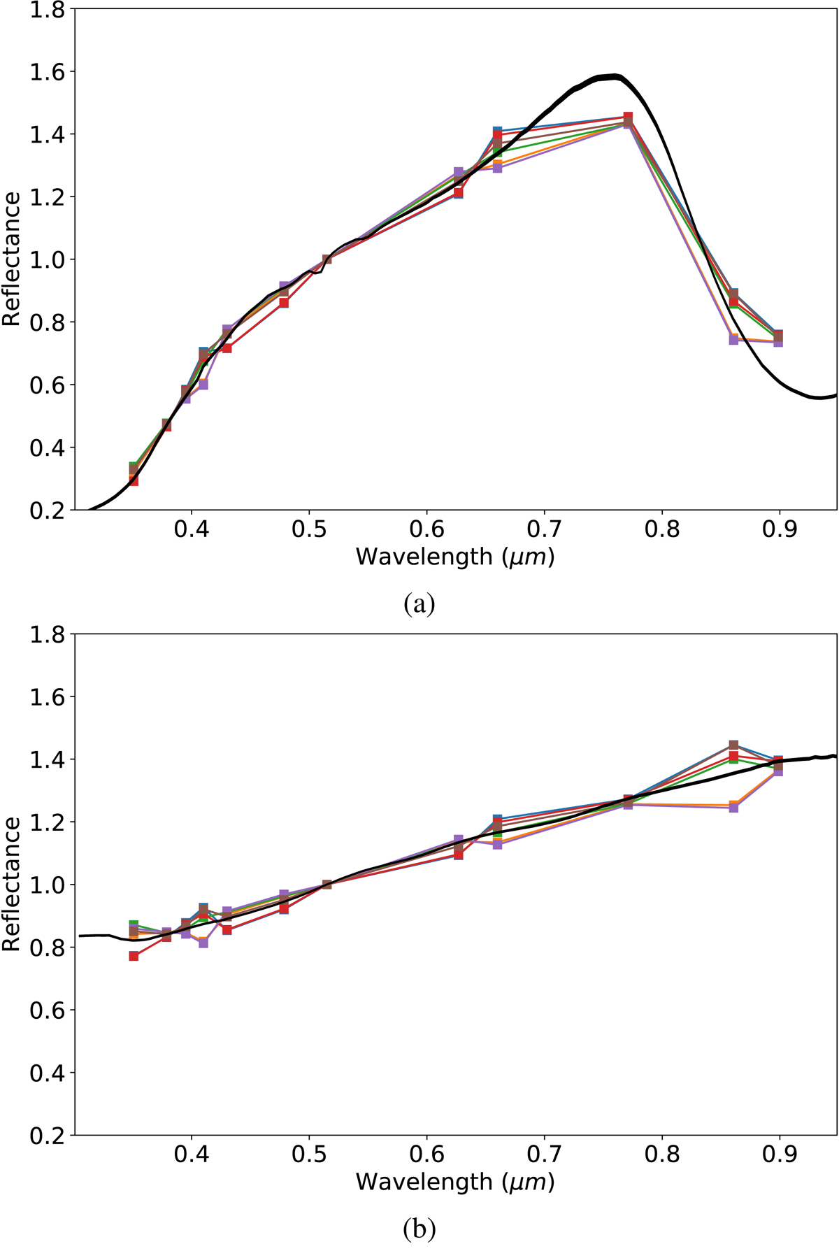
Fig. 16.

image

Download original image

(a) Resulting photospectra for the light curve in Fig. 15 using the optical constants of the HED meteorite Allan Hill A76005, with the reflectance spectra of the meteorite shown as a continuous black line. (b) Same as the previous figure, for the optical constants of the Taggish Lake meteorite.

Current usage metrics show cumulative count of Article Views (full-text article views including HTML views, PDF and ePub downloads, according to the available data) and Abstracts Views on Vision4Press platform.

Data correspond to usage on the plateform after 2015. The current usage metrics is available 48-96 hours after online publication and is updated daily on week days.

Initial download of the metrics may take a while.