Free Access

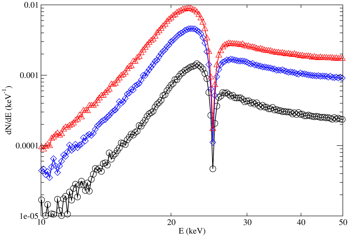
Fig. 4.

image

Download original image

Reflected spectrum dN/dE in three direction bins, as follows: 0 ≤ cos χ′< 0.33 (line with black circles), 0.33 ≤ cos χ′< 0.66 (line with blue diamonds), and 0.66 ≤ cos χ′≤1.0 (line with red triangles). The angle χ′ is measured with respect to B at the point of incidence.

Current usage metrics show cumulative count of Article Views (full-text article views including HTML views, PDF and ePub downloads, according to the available data) and Abstracts Views on Vision4Press platform.

Data correspond to usage on the plateform after 2015. The current usage metrics is available 48-96 hours after online publication and is updated daily on week days.

Initial download of the metrics may take a while.