Free Access

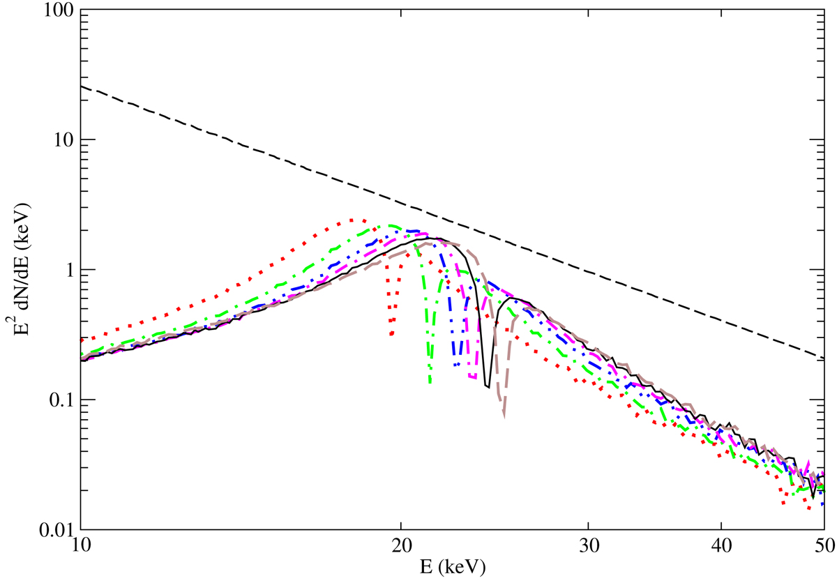
Fig. 6.

image

Download original image

Reflected spectra in all directions in E2 dN/dE form, with arbitrary units, as a function of energy E in keV. For all cases, the input spectrum is given by the black dashed line. The red dotted line corresponds to θ′ = 147 degrees, the green dot – dashed line corresponds to θ′ = 149 degrees, the blue double-dot – dashed line corresponds to θ′ = 152 degrees, the magenta double-dash – dotted line corresponds to θ′ = 155 degrees, the black solid line corresponds to θ′ = 160 degrees, and the brown long-dashed line corresponds to θ′ = 172 degrees. The corresponding energies of the cyclotron absorption features are given in the text. The shock height is H = 10 km.

Current usage metrics show cumulative count of Article Views (full-text article views including HTML views, PDF and ePub downloads, according to the available data) and Abstracts Views on Vision4Press platform.

Data correspond to usage on the plateform after 2015. The current usage metrics is available 48-96 hours after online publication and is updated daily on week days.

Initial download of the metrics may take a while.